燃油效率

燃油效率

目录导航

基本信息

石油资源作为重要的战略性稀缺资源,价格上涨的总趋势将不会改变[1],燃油价格上涨对于航空业的运营成本的影响将不断增大。美国联邦航空局、飞机制造商、发动机制造商、各航空公司以及相关机构都在积极开展提高燃油效率,节约燃油成本,减少排放,保护环境的相关探索。

评价指标

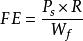
燃油效率的评价指标为每单位油耗所能产生的客公里数或吨公里数,,因此吨公里数和客公里数是可以互相转换的。我们不妨用 RPM/kg 来表示燃油效率的评价指标,从燃油效率的评价指标(RPM/kg)可以看出:分子代表的是运输周转量,而分母代表的是航油消耗量,运输周转量除以航油消耗量反映了燃油的使用效率。综上所述,我们就可以得到燃油效率的表达式[2]

式中,FE 代表燃油效率, Ps 代表旅客数;R代表距离;W f 代表油耗量。

影响因素

燃油效率影响因素有很多,比如:单位燃油消耗率(SFC)、升阻比、结构效率、距离、载油量、业载、载运率等等。燃油消耗率(SFC)和升阻比各自提高 1%均能让油耗减少 1%。 结构重量减少 1%时,油耗减少约为 0.7%-0.75%。结构重量对燃油效率的影响没有发动机效率和空气流通能力对燃油效率的影响大,它还跟飞机的大小和距离有关。也就是,飞机重量减少 30%时油耗减少 7%-15%。备份油量和结构重量对油耗的影响几乎一样,备份油量的减少也会导致油耗的减少。业载增加 1%等价于载运率增加 1%,将导致 0.8%每客公里油耗的减少。这就证实了:对航空公司来讲,载运率的增加是提高燃油效率的重要方面。载油量的改变能提高燃油效率但减少距离。我们可以将这些因素划分为技术和运营两个方面。技术因素包括:SFC,升阻比,结构效率等;运营因素包括:距离,载油量,业载,座公里,客公里,低效操作等。以上影响燃油效率的因素主要是从性能和技术角度来分析的[2]

发展规划

国际航协推出的节油计划[3],主张从产业链角度(包括航空油料的采购、储备、供应以及使用中涉及的所有环节)来提高节油效率,并计划从基础设施和航路改进入手,将业内有关节油的最佳做法由专业人士编写成《燃油手册》供大家参考借鉴。

波音公司从飞机结构方面入手,对融合式翼梢小翼进行了研究,设法通过减少飞机阻力来提高燃油效率。经证实:翼梢小翼可以增加有效翼展,减少翼梢涡流能量改善气动性,获得更低的轮挡油耗,提高燃油效率等。

ATA 首席经济学家John P. Heimlich 指出:与其他运输方式不同,航空运输目前还没有其他替代能源来使用。因此,航空公司通过提高燃油效率来应对油价的持续上涨是最有效的途径之一。

美国大陆航空公司亚太总裁 Mark Erwin 透露,鉴于国际油价高居不下,大陆航空计划在 2009 年试用生物燃料与传统航空油的混合燃料,来缓解燃油成本的上升,提高燃油效率[4]

相关百科
返回顶部
产品求购 求购