倒虹管

倒虹管

目录导航

简介

排水管渠遇到河流、山涧、洼地或地下构筑物等障碍物时,不能按原有的坡度埋设,而是按下凹的折线方式从障碍物下通过,这种管道称为倒虹管。倒虹管由进水井、下行管、平行管、上行管和出水井等组成。确定倒虹管的路线时,应尽可能与障碍物正交通过,以缩短倒虹管的长度,并应选择在河床和河岸较稳定、不易被水冲刷的地段及埋深较小的部位敷设。通过河道的倒虹管,不宜少于两条;通过谷地、旱沟或小河的倒虹管可采用一条,通过障碍物的倒虹管径,应符合与该障碍物相交的规定。穿过河道的倒虹管管顶与规划河底距离一般不宜小于1.0m,通过航运河道时,其位置和规划河底距离应与航运管理部门协商确定,并设置标志,遇冲刷河床应考虑采取防冲措施。[1]

防污泥淤积措施

由于倒虹管的清通比一般管道困难得多,因此必须采取各种措施来防止倒虹管内污泥的淤积。在设计时,可采取以下措施[1]

(1)管内设计流速应大于0.9m/s,并应大于进水管内的流速,当管内流速达不到0.9m/s时,应增加定期冲洗措施,冲洗流速不应小于1.2m/s。合流管道的倒虹管应按旱流污水量校核流速。

(2)最小管径宜为200mm。

(3)在进水井设置可利用河水冲洗的设施。

(4)在进水井或靠近进水井的上游管渠的检查井中,在取得当地卫生主管部门同意的条件下,设置事故排出口。当需要检修倒虹管时,可以让上游污水通过事故排出口直接泄入河道。

(5)倒虹管进水井的前一检查井,应设置污泥槽。

(6)倒虹管的上下行管与水平线夹角应不大于30°。

(7)为了调查流量和便于维修,在进水井中应设置闸槽或闸门,有时也用溢流堰来代替。进、出水井应设置井口和井盖。倒虹管进、出水井的检修室净高宜高于2m,进、出水井较深时,井内应设检修台,其宽度应满足检修要求。当倒虹管为复线时,井盖的中心应设在各条管道的中心线上。

(8)在倒虹管内设置防沉装置。例如德国汉堡等市,有一种新式的所谓空气垫式倒虹管,它是在倒虹管中借助于一个体积可以变化的空气垫,使之在流量小的条件下达到必要的流速,以避免在倒虹吸管中产生沉淀。[1]

阻力计算

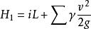
污水在倒虹管内的流动是依靠上下游管道中的水面高差(进、出水井的水面高差)H进行的,该高差用以克服污水通过倒虹管时的阻力损失。倒虹管内的阻力损失值可按下式计算[1]

式中: i—倒虹管每米长度的阻力损失;

L—倒虹管的总长度,m;

γ—局部阻力系数(包括进口、出口、转弯处);

v—倒虹管内污水流速,m/s;

g—重力加速度,m/s[1]

相关百科
返回顶部
产品求购 求购