万有引力定律

万有引力定律

来源 论运动
外文名 Lawofuniversalgravitation
提出者 艾萨克·牛顿
应用学科 数学、自然哲学、物理学、自然学
目录导航

推理依据

伽利略在1632年实际上已经提出离心力和向心力的初步想法。布里阿德在1645年提出了引力平方比关系的思想.牛顿在1665~1666年的手稿中,用自己的方式证明了离心力定律,但向心力这个词可能首先出现在《论运动》的第一个手稿中。一般人认为离心力定律是惠更斯在1673年发表的《摆钟》一书中提出来的。根据1684年8月~10月的《论回转物体的运动》一文手稿中,牛顿很可能在这个手稿中第一次提出向心力及其定义。

万有引力与相作用的物体的质量乘积成正比,是发现引力平方反比定律过渡到发现万有引力定律的必要阶段.·牛顿从1665年至1685年,花了整整20年的时间,才沿着离心力—向心力—重力—万有引力概念的演化顺序,终于提出“万有引力”这个概念和词汇。·牛顿在《自然哲学的数学原理》第三卷中写道:“最后,如果由实验和天文学观测,普遍显示出地球周围的一切天体被地球重力所吸引,并且其重力与它们各自含有的物质之量成比例,则月球同样按照物质之量被地球重力所吸引。另一方面,它显示出,我们的海洋被月球重力所吸引;并且一切行星相互被重力所吸引,彗星同样被太阳的重力所吸引。由于这个规则,我们必须普遍承认,一切物体,不论是什么,都被赋与了相互的引力(gravitation)的原理。因为根据这个表象所得出的一切物体的万有引力(universal gravitation)的论证……”

牛顿在1665~1666年间只用离心力定律和开普勒第三定律,因而只能证明圆轨道上的而不是椭圆轨道上的引力平方反比关系。在1679年,他知道运用开普勒第二定律,但是在证明方法上没有突破,仍停留在1665~1666年的水平。只是到了1684年1月,哈雷、雷恩、胡克和牛顿都能够证明圆轨道上的引力平方反比关系,都已经知道椭圆轨道上遵守引力平方反比关系,但是最后可能只有牛顿才根据开普勒第三定律、从离心力定律演化出的向心力定律和数学上的极限概念或微积分概念,才用几何法证明了这个难题。

假设检验

牛顿的猜想

地球与太阳之间的吸引力与地球对周围物体的引力可能是同一种力,遵循相同的规律。

猜想的依据

(1)行星与太阳之间的引力使行星不能飞离太阳,物体与地球之间的引力使物体不能离开地球;(2)在离地面很高的距离里,都不会发现重力有明显的减弱,那么这个力必然延伸到很远的地方。

检验的思想

如果猜想正确,月球在轨道上运动的向心加速度与地面重力加速度的比值,应该等于地球半径平方与月球轨道半径平方之比,即。

检验的结果

地面物体所受地球的引力,与月球所受地球的引力是同一种力。

万有引力

公式表示

F: 两个物体之间的引力

G:万有引力常量

m1: 物体1的质量

m2: 物体2的质量

r: 两个物体之间的距离(大小)(r表示径向矢量)

依照国际单位制,F的单位为牛顿(N),m1和m2的单位为千克(kg),r 的单位为米(m),常数G近似地等于

G=6.67×10⁻¹¹ N·m²/kg²(牛顿平方米每二次方千克)。

由此可知排斥力F一直都将不存在,这意味着净加速度的力是绝对的。(这个符号规约是为了与库仑定律相容而订立的,在库仑定律中绝对的力表示两个电子之间的作用力。)

适用范围

经典万有引力定律反映了一定历史阶段人类对引力的认识,在十九世纪末发现,水星在近日点的移动速度比理论值大,即发现水星轨道有旋紧,轨道旋紧的快慢的实际值为每世纪42.9″。这种现象用万有引力定律无法解释,而根据广义相对论计算的结果旋紧是每世纪43.0″,在观测误差允许的范围内。此外,广义相对论还能较好地解释谱线的红移和光线在太阳引力作用下的偏转等现象。这表明广义相对论的引力理论比经典的引力理论进了一步。

在法拉第和麦克斯韦之后,人们看到物理的实在除了粒子还有电磁场。电磁场具有动量和能量且能传播电磁波。这使人们联想万有引力定律也是物理的实在,能传播引力波,也有许多人努力探测它,但尚无很好的结果。电磁波的传播可用光子解释,类似地,光子也导致引力子概念的引出。万有引力也不再是超距作用,而以引力子为媒介。但这些都是物理学家正在探索的领域。

经典力学的适用范围并引入普朗克常量和真空中光速来界定经典力学的领地。粗糙的说,经典的万有引力定律适用范围也可用一数量表示。现在引入引力半径,G、m分别表示引力常量和产生引力场的球体的球体的质量,c为光速。用R表示产生力场球体之半径,若,则可用牛顿引力定律。对于太阳,,应用牛顿引力定律无问题;即使是对致密的白矮星,,也仍然可用牛顿万有引力定律;至于黑洞和宇宙大爆炸,应当是应用广义相对论的。

引力常量

牛顿在推出万有引力定律时,没能得出引力常量G的具体值。G的数值于1789年由卡文迪许利用他所发明的扭秤得出。卡文迪许的扭秤试验,不仅以实践证明了万有引力定律,同时也让此定律有了更广泛的使用价值。

扭秤的基本原理是在一根刚性杆的两端连结相距一定高度的两个相同质量的重物,通过秤杆的中心用一扭丝悬挂起来。秤杆可以绕扭丝自由转动,当重力场不均匀时,两个质量所受的重力不平行。这个方向上的微小差别在两个质量上引起小的水平分力,并产生一个力矩使悬挂系统绕扭丝转动,直到与扭丝的扭矩平衡为止。扭丝上的小镜将光线反射到记录相板上。当扭丝转动时,光线在相板上移动的距离标志着扭转角的大小。平衡位置与扭秤常数和重力位二次导数有关。在一个测点上至少观测3个方位,确定4个二次导数值,测量精度一般达几厄缶。

根据扭力系统的构造形状,分为z型、L型和斜臂式扭秤。z型扭秤由一个轻金属制成的z型秤臂、两个质量相等的重荷和一根细金属丝组成的。两个重荷分别固定在z型秤臂的两端。细金属丝将整个系统悬挂起来,组成一套扭力系统。由于两个重荷处于不同的位置,所以,当通过两个重荷的重力等位面Q₁和Q₂。互不平行或弯曲时,两个重荷将受到重力场水平分量的作用。当重力场水平分量gH₁和gH₂的大小和方向不同时,秆臂就要绕着扭丝转动,直到水平旋转的重力矩和扭丝的扭力矩相平衡为止。秤臂偏转的角度除和扭力系统的构造和扭丝的扭力系数有关外,还和两个重荷间的重力变化有关。因此,准确记录扭力系统的偏角,就可以求出重力位的二次导数。由于扭力系统的灵敏度很高,秤臂稳定下来的时间较长。同时还需要在3~5个方向上照相记录,所以,仪器附有自动控制系统,并安放在特制的小房里工作。仪器的操作和测量结果的计算都比较烦琐,每测—个点需要2~3小时,工件效率较低。

扭秤的测量结果用矢量图表示,用一短线表示曲率,矢量方向相应于最小曲率平面的方位,矢量长度表示等位面曲率差大小 。在短线中心以箭头画出总梯度,指向重力增加的方向。

扭秤的灵敏度很高并可测多个参数,但是也有其不足之处。由于具有极高的灵敏度,对于测试环境的要求也很高,易受外界干扰,包括温度、地面震动、大气压强波动、扭丝的滞弹性效应等。因此对于精度要求不高的重力测量工作,一般都是重力仪去完成。但是对于高精度的测量,如引力物理方面的测量,以及高精度仪器的验证以及标定,都需要利用扭秤来完成。因此即便是如今,扭秤在实验物理领域也有着相当重要的地位。

卡文迪许测出的G=6.67×10⁻¹¹N·m²/kg² ,与现在的公认值6.67×10⁻¹¹N·m²/kg²极为接近;直到1969年G的测量精度还保持在卡文迪许的水平上。

科学意义

万有引力定律的发现,是17世纪自然科学最伟大的成果之一。它把地面上物体运动的规律和天体运动的规律统一了起来,对以后物理学和天文学的发展具有深远的影响。它第一次解释了(自然界中四种相互作用之一)一种基本相互作用的规律,在人类认识自然的历史上树立了一座里程碑。

万有引力定律揭示了天体运动的规律,在天文学上和宇宙航行计算方面有着广泛的应用。它为实际的天文观测提供了一套计算方法,可以只凭少数观测资料,就能算出长周期运行的天体运动轨道,科学史上哈雷彗星、海王星、冥王星的发现,都是应用万有引力定律取得重大成就的例子。利用万有引力公式,开普勒第三定律等还可以计算太阳、地球等无法直接测量的天体的质量。牛顿还解释了月亮和太阳的万有引力引起的潮汐现象。他依据万有引力定律和其他力学定律,对地球两极呈扁平形状的原因和地轴复杂的运动,也成功的做了说明。推翻了古代人类认为的神之引力。

对文化发展有重大意义:使人们建立了有能力理解天地间的各种事物的信心,解放了人们的思想,在科学文化的发展史上起了积极的推动作用。

力学应用

自由落体运动

令a1为事先已知质点的重力加速度。由牛顿第二定律知, 即。取代前面方程中的F

同理亦可得出a2.

依照国际单位制,重力加速度(同其他一般加速度)的单位被规定为米每平方秒(m/s²或 m·s⁻²)。非国际单位制的单位有伽利略、单位g(见后)以及 英尺每秒的平方。

请注意上述方程中的a1,质量m1的加速度,在实际上并不取决于m1的取值。因此可推论出对于任何物体,无论它们的质量为多少,它们都将按照同样的比率向地面坠落(忽略空气阻力)。

如果物体运动过程中r只有极微小的改变——譬如地面附近的自由落体运动——重力加速度将几乎保持不变(参看条目地心引力)。而对于一个庞大物体,由于r的变化导致的不同位点所受重力的变化,将会引起巨大而可观的潮汐力作用。

令m1为地球质量5.98*10²⁴kg,m2为1kg,R为地球半径6380000m,代入万有引力公式,计算出F=9.8N,这说明1kg的物体在地球表面受重力为9.8N。换句话说,等式两边同除以m2,结果就是重力加速度g。

具有空间广度的物体:

如果被讨论的物体具有空间广度(远大于理论上的质点),它们之间的万有引力可以以物体的各个等效质点所受万有引力之和来计算。在极限上,当组成质点趋近于“无限小”时,将需要求出两物体间的力(矢量式见下文)在空间范围上的积分。

从这里可以得出:如果物体的质量分布呈现均匀球状时,其对外界物体施加的万有引力吸引作用将同所有的质量集中在该物体的几何中心原理时的情况相同。(这不适用于非球状对称物体)。

矢量式:

地球附近空间内的重力示意图:在此数量级上地球表面的弯曲可被忽略不计,因此力线可以近似地相互平行并且指向地球的中心牛顿万有引力定律亦可通过矢量方程的形式进行表述而用以计算万有引力的方向和大小。在下列公式中,以粗体显示的量代表矢量。地球的重力示意图地球的重力示意图

其中:

F₁₂: 物体1对物体2的引力

G: 万有引力常量

m₁与m₂: 分别为物体1和物体2的质量

r₂₁ = | r₂ r₁ |: 物体2和物体1之间的距离

r₂1= r₁+r₂ 物体2和物体1之间的距离

: 物体1到物体2的单位矢量

可以看出矢量式方程的形式与之前给出的标量式方程相类似,区别仅在于在矢量式中的F是一个矢量,以及在矢量式方程的右端被乘上了相应的单位向量。而且,我们可以看出:F₁₂ = F₂₁

同样,重力加速度的矢量式方程与其标量式方程相类似。

重力与引力

1.重力是由于地球的吸引而产生的,但能否说万有引力就是重力呢?分析这个问题应从地球自转入手。由于地球自转,地球上的物体随之做圆周运动,所受的向心力F₁=mrω²=mRω²cosa,F₁是引力F提供的,它是F的一个分力,cosa是引力F与赤道面的夹角的余弦值,F的另一个分力F₂就是物体所受的重力,即F₂=mg。

由此可见,地球对物体的万有引力是物体受到重力的原因,但重力不完全等于万有引力,这是因为物体随地球自转,需要有一部分万有引力来提供向心力。

2.重力与万有引力间的大小关系

(1)重力与纬度的关系

在赤道上满足mg=F-F向(物体受万有引力和地面对物体的支持力Fn的作用,其合力充当向心力,Fn的大小等于物体的重力的大小)。

在地球两极处,由于F向=0,即mg=F,在其他位置,mg、F与F向 间符合平行四边形定则。同一物体在赤道处重力最小,并随纬度的增加而增大。

(2)重力、重力加速度与高度的关系

在距地面高度为h的高处,若不考虑地球自转的影响时,则mg'=F=GMm/(R+h)²;而在地面处mg=GMm/R²。

距地面高为h处,其重力加速度g'=GM/(R+h)²,在地面处g=GM/R²。

在距地面高度为h的轨道上运行的宇宙飞船中,质量为m的物体的重力即为该处受到的万有引力,即mg'=GmM/(R+h)²,但无法用测力计测出其重力。

匀速圆周运动

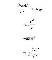
一个天体环绕另一个中心天体做匀速圆周运动。其向心力由万有引力提供。即F引=GMm/r²≈mg=ma向,而a向=v²/r=ω²r=vω=(4π²/T²)r=4π²f²r,因此应用万有引力定律解决天体的有关问题,主要有以下几个度量关系:F引=GMm/r²(r为轨道半径)=mg=ma向=mv²/r=mω²r=m(4π²/T²)r=m4π²f²r.

重力场:

球状星团 M13 证明重力场的存在。重力场是用于描述在任意空间内某一点的物体每单位质量所受万有引力的矢量场。而在实际上等于该点物体所受的重力加速度。

以下是一个普适化的矢量式,可被应用于多于两个物体的情况(例如在地球与月球之间穿行的火箭)的计算。对于两个物体的情况(比如说物体1是火箭,物体2是地球)来说,我们可以用 替代并用m替代m₁来将重力场表示为:

因此我们可以得到:

该公式不受产生重力场的物体的限制。重力场的单位为力除以质量的单位;在国际单位制上,被规定为N·kgㄢ(牛顿每千克)。

天体力学领域

1.计算天体质量

(1)计算地球质量

若不考虑地球自转,地面上物体所受重力即地球对它的万有引力

mg=GmM/R²由此可得地球质量 M=gR²/G

(2)计算太阳质量

测量地球绕太阳公转周期,公转轨道半径,将轨道看成圆,匀速圆周运动向心力就是万有引力

即 GMm/R²=m(2π/T)² R 地球质量为m, 太阳质量 M=4π²R³/GT²

运用类似方法已知人造卫星质量,卫星绕某天体运动的周期和轨道半径

可算出天体质量

2.估算天体密度

若设某天体半径R,卫星绕天体表面运行时,轨道半径为R,

又测得已知运行周期为T

设卫星质量为m 则 GMm/R²=m(2π/T)²R 天体质量M=4π²R³/GT²

体积V=4πR³/3 ρ=M/V=3π/GT²

存在问题

简介

尽管牛顿对重力的描述对于众多实践运用来说十分地精确,但它也具有几大理论问题且被证明是不完全正确的。

理论问题

没有任何征兆表明重力的传送媒介可以被识别出,牛顿自己也对这种无法说明的超距作用感到不满意(参看后文条目“局限性”)。

牛顿的理论需要定义重力可以瞬时传播。因此给出了古典自然时空观的假设,这样亦能使约翰内斯·开普勒所观测到的角动量守恒成立。但是,这与爱因斯坦的狭义相对论理论有直接的冲突,因为狭义相对论定义了速度的极限——真空中的光速——在此速度下信号可以被传送。

观测问题

牛顿的理论并不能完全地解释出水星在沿其轨道运动到近日点时出现的进动现象。牛顿学说的预言(由其它行星的重力拖曳产生)与实际观察到的进动相比每世纪会出现43弧秒的误差。

牛顿的理论预言的重力作用下光线的偏折只有实际观测结果的一半。广义相对论则与观察结果更为接近。

所有物体的重力质量与惯性质量相同的这一观测现象是牛顿的系统所不能解释的。广义相对论则将它作为一个基本条件。参看条目等效原理。

理论局限性

当牛顿非凡的工作使万有引力定律能够为数学公式所表示后,他仍然不满于公式中所隐含的“超距作用”观点。他从来没有在他的文字中“赋予产生这种能力的原因”。在其它情况下,他使用运动的现象来解释物体受到不同力的作用的原因,但是对于重力这种情况,他却无法用实验方法来确认运动产生了重力。此外,他甚至还拒绝对这个由地面产生的力的起因提出假设,而这一切都违背了科学证据的原则。

牛顿的经典力学只适用于低速、宏观、弱引力,而不适用于高速、微观与强引力。

牛顿对重力的发现埋葬了“哲学家至今仍在愚蠢地试图探索自然”(philosophers have hitherto attempted the search of nature in vain)这句所谓的真理,就同他深信着的“有各种因素”使得“各种迄今未知的原因”是所有“自然现象”的基础。这些基本的现象至今仍在研究中,而且,虽然存在着许多种的假设,最终答案仍然没有找出。 虽然爱因斯坦的假设的确比牛顿的假设更能精确地解释确定案例中万有引力的作用效果,但是他也从来没有在他的理论中为这种能力赋予一个原因。在爱因斯坦的方程式中,“物质告诉空间怎么扭曲,空间告诉物质怎么移动”(matter tells space how to curve, and space tells matter how to move),但是这个完全异于牛顿世界的新的思想,也不能使爱因斯坦所赋予“产生这种能力的原因”比万有引力定律使牛顿所赋予的原因更能使空间产生扭曲。牛顿自己说:

我还没有能力去从现象中发现产生这些重力特性的原因,而且我无法臆测……我所解释的定律和丰富的天体运动的计算已经足够于说明重力的确存在并能产生效果。一个物体可以不通过任何介质穿过真空间的距离对另一个物体产生作用,在此之上它们的活动和力可以传送自对方,这对于我来说简直就是一个天大的谬论。因此,我相信,任何有足够的哲学思维能力的人都不会沉溺于此。I have not yet been able to discover the cause of these properties of gravity from phenomena and I feign no hypotheses... It is enough that gravity does really exist and acts according to the laws I have explained, and that it abundantly serves to account for all the motions of celestial bodies. That one body may act upon another at a distance through a vacuum without the mediation of anything else, by and through which their action and force may be conveyed from one another, is to me so great an absurdity that, I believe, no man who has in philosophic matters a competent faculty of thinking could ever fall into it.

需注意的是,这里使用的单词“原因(cause)”并不是“起因(cause)和影响”或者“被告导致(cause)受害者死亡”中所表示的意义。何况,当牛顿使用单词“原因(cause)”时,他(明显地)意指为一种“解释”。或者说,像“牛顿学说的重力是行星运动的原因”这个短语的意思就是牛顿学说的重力解释了行星的运动。

演化过程

过往理论

亚里士多德引力理论 亚里士多德认为,物体的运动速度和其所受外界的合力是成正比(或者是该物体所受的自己本身的引力),并且和物体运动介质的粘度成反比。

尼古拉·特斯拉(Nikola Tesla)宣布但是从未发表的引力动力学理论;部分原因是因为理论的细节(如果有的话)并没有透露,并没有得到物理学家们的重视。

感应引力(Induced Gravity),由安德烈·萨哈罗夫(Andrei Sakharov)提出,认为广义相对论可能起源于量子场论。

雷萨吉万有引力理论(Le Sage's Theory of Gravitation)(也叫做雷萨吉引力理论),由乔治-路易斯·雷萨吉(Georges-Louis Le Sage)提出,以一种充满整个宇宙轻的气体的流动来解释这种现象。

万有引力理论(Nordström's Theory of Gravitation),广义相对论的早期竞争者。

怀特黑德万有引力理论,(Whitehead's Theory of Gravitation)广义相对论的另一个早期竞争者。

相关介绍

万有引力定律万有引力定律存在于任何两个物体之间的由质量引起的相互吸引力,力的作用线约在两物体质心的连线上,其大小与两物体的质量成正比,与两物体的距离平方成反比。万有引力定律是牛顿追索地面上的物体受重力作用的原因而发现的,1687年正式发表。以m1、m2表示两物体的质量,r表示两者之间的距离,则相互吸引的力F为:,式中G称为万有引力常数。这就是万有引力定律的数学表达式。严格地说,上式是对两质点而言的。因为“两个物体之间的距离”一语指的是两个质点的距离。如果一个是质点,另一个是有限体,则可把有限体分割成许多质点,并求出它们引力的矢量和,就能得到整个有限体对质点的作用力。牛顿曾证明:一个密度是到球心距离r的函数的球体对球外一质点的引力同整个球体质量集中在球心的情况无异。牛顿用万有引力定律证明了开普勒定律、月球绕地球的运动、潮汐的成因和地球两极较扁等自然现象。牛顿的万有引力定律是天体力学的基础。人造卫星、月球和行星探测器的轨道,都是以这个定律为基础来计算的。万有引力存在的实验证明和引力常数G的测定是卡文迪什于1798年作出的。目前引力常数的公认值是G=6.6732×10⁻¹¹ m³/kg·s² 。

扩展阅读

万有引力定律万有引力定律1859年,法国天文学家勒威耶发现水星近日点进动速率的数值与用万有引力定律算得的数值有每百年38″(美国天文学家S.纽康的测定值为43″)的偏离。1915年,爱因斯坦创立广义相对论,终于说明了这个问题,并预言光线在引力场中的偏折和光谱的红移。天文学家还曾预言黑洞的存在,使广义相对论进入了与宇宙演化有关的新境界。爱因斯坦以加速坐标系和引力场的等效性否定了惯性坐标系在宇宙空间的存在,又用引力场改变了空间特性。他认为物体在引力场的运动是沿四维弯曲的黎曼空间的短程线。但是在弱引力场的情况(例如太阳系)下,对许多力学问题,用牛顿万有引力定律比用爱因斯坦的广义相对论计算要简单得多,而且两者相差极微。对简单的二体问题,由于“同时”概念混杂,难以用广义相对论进行数学处理。

在粒子相互作用的微观世界里,万有引力是最弱的—种,万有引力与电磁力、核力的统一问题有待于科学家们的进一步努力。

参考文献

1、词条作者:汪家訸.《中国大百科全书》74卷(第一版)力学 词条:万有引力:中国大百科全书出版社,1987 :490页.

相关百科
返回顶部
产品求购 求购