海平面比冲

海平面比冲

学科 航空工程
中文名 海平面比冲
目录导航

简介

海平面比冲是指海平面条件下每秒消耗单位质量推进剂产生的推力。

条件

海平面条件是指海拔高度为零、大气压强Pamb=0.1013MPa、大气温度为15℃。

影响

由于比冲随Pamb的减小而增大,对于同一发动机在不同Pamb (相当于不同海拔高度)下的比冲不相同。

公式

为便于比较,通常要求将不同Pamb下获得的比冲换算成海平面条件下的比冲,作为一种标准值使用。换算公式为:

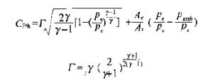
式中Is和C1为海平面条件下的实际比冲和理论推力系数; C1为试骑条件下的实测比冲和理论推力系数。Cb和Ct用下式表示:

式中r为比热比:T为比热比函数;P为喷管出口压强;Pe为燃烧室压强;Ae为喷管出口截面积;A1为喷管喉部截面积。试验条件下的大气压强Pamb代入上式,即可得试验条件下的理论推力系数Cp,将海平面条件下的大气压强(Pamb=0.1013 MPa)代入上式,即可得海平面条件下的理论推力系数C1s。

相关百科
返回顶部
产品求购 求购