等压面气压因为海拔高度和地面冷热的不同导致气压的不同,一般来说,在垂直方向上随着高度的升高,等压面的数值在变小,如果地面的性质是均一的,大气的性质也是均一的,那等压面就是互相平行的,否则就是高低起伏。等压面是空间气压相等的各点所组成的面。由于同一高度,各地气压不相等,等压面在空间不是平面,而是像地形一样起伏不平。
采用绘制地形图的方法,用等高线将起伏不平的等压面投影到平面图上,构成等压面图。[1]在等压面图上,用等高线表示气压的空间分布。等压面凸起的地方,表示在同一高度上,气压比四周高。在等压面图上,是一组闭合等高线构成的高值区,即高压区。等压面凹下,表示同一高度上,气压比四周低。在等压面图上,是一组闭合等高线构成的低值区,即低压区。因此,在等压面图上,由等高线的分布可反映等压面的起伏,表示气压的空间分布状况。
等压面的高度不是几何高度,而是位势高度。位势高度是以单位质量物体从海平面抬升到空间某高度位置上克服重力所作的功来表示。气象上通常用的等压面图有850百帕、700百帕、500百帕等多种。不同高度的等压面图组合起来,不仅反映大范地区高压、低压等天气系统的空间分布状况,而且能反映高空大气的结构及其演化规律,它是大范围天气形势预报的基础。
关于等压线的阅读:要注意数值。一般是等线等压、等压等线。一般在一幅图中每两条等压线之间的等压距是相等的,所以只要知道其中两条线的值就可以推知任何一条线的数值。如果等压线是闭合时,则中心数值大的为高压中心,又叫反气旋。
在它控制下的天气是晴朗的,反之为低压中心.叫气旋,其控制下是阴雨天气。当然还可以根据等压线的疏密来判断风力的大小等。
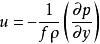
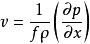
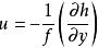
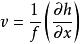
垂直坐标用高度表示时,地转风公式为:


如果用气压坐标(即在等压面上),则地转风共识为:


显然在等压面上计算地转风就不会出现密度变量,这比在高度坐标系中计算方便的多。因此天气分析和预报中一般都采用气压垂直坐标,即在等压面上分析和计算。[1]
等压面的特性是: 等压面永远与质量力正交。
因此,已知质量力的方向便可求等压面的方向;反之,若等压面的方向已知,便可确定质量力的方向。[2]
求购