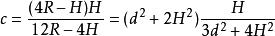
球缺质心:匀质球缺的质心位于它的中轴线上,并且与底面的距离为:
![]()
(其中,H为球缺的高,R为大圆半径,d为球缺的底面直径。)
用定积分来计算体积:
已知:球半径R,球缺高H。我们就可以得到球缺的体积为:
![]()
证明过程:
由于圆方程(圆心为原点)为
可得
故

整理后得出
![]()
又:若球缺高H,截面直径D,则
![]()
球缺属于几何体,是指用一个平面去截一个球所得的部分,是“体”的概念。而球冠只是个“面”的概念,是指一个球面被一个平面所截得的部分。
因此,球缺可以计算体积;而球冠只能计算面积。
在英文中球缺是spherical cap, 而球冠是curved surface of spherical cap.
求购