静电势

静电势

目录导航

基本定义

静电势静电势(3)静电势(electrostatic potential):将 正电荷从 分子周围 空间某点处移到无穷远处电场力所做的 功。

通常 定义为:VA(k)=∫ DA(r1-Ra)/∣r1-rk∣dτ1,其中DA(r1-Ra)为 体系A包括核电荷的一级 电荷密度函数。在 量子化学自洽场计算中,这两项分别相当于核电荷和 电子对 静电势的贡献。

静电势的 计算比较复杂,对于特大分子,已经发展了一种电极矩展开近似法。静电势常用于 生物分子、 药物分子和其他 大分子间 相互作用的研究。

定理定律

电势梯度:电偶极子分布图电势梯度:电偶极子分布图在静电学里,电势(electric potential)(又称为电位)定义为:处于电场中某个位置的单位电荷所具有的电势能。电势只有大小,没有方向,是标量,其数值不具有绝对意义,只具有相对意义。

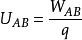
(1)单位正电荷由电场中某点A移到参考点O(即零势能点,一般取无限远处或者大地为零势能点)时电场力做的功与其所带电量的比值。

所以φA=Ep/q。在国际单位制中的单位是伏特(V)。

(2)电场中某点相对参考点O电势的差,叫该点的电势。

“电场中某点的电势在数值上等于单位正电荷在那一点所具有的电势能”。

公式:ε=qφ(其中ε为电势能,q为电荷量,φ为电势),即φ=ε/q

在电场中,某点的电荷所具的电势能跟它的所带的电荷量之比是一个常数,它是一个与电荷本身无关的物理量,它与电荷存在与否无关,是由电场本身的性质决定的物理量。

电势是描述静电场的一种标量场。静电场的基本性质是它对放于其中的电荷有作用力,因此在静电场中移动电荷,静电场力要做功。但静电场中沿任意路径移动电荷一周回到原来的位置,电场力所做的功恒为零,即静电场力做功与路径无关,或静电场强的环路积分恒为零。

静电场的这一性质称为静电场的环路定理。根据静电场的这一性质可引入电势来描述电场,就好像在重力场中重力做功与路径无关,可引入重力势描述重力场一样。电场中某一点的电势定义为把单位正电荷从该点移动到电势为零的点,电场力所做的功。通常选择无限远点的电势为零,因此某点的电势就等于把单位正电荷从该点移动到无限远,电场力所做的功,表示为:

电场力所做的功电场力所做的功

电势的单位为V(伏),1V=1J/C(1焦/库)。静电场中电势相等的点构成一些曲面,这些曲面称为等势面。电力线总是与等势面正交,并指向电势降低的方向,因此静电场中等势面的分布就绘出了电场分布。电势虽然是引入描述电场的一个辅助量,但它是标量,运算比矢量运算简单,许多具体问题中往往先计算电势,再通过电势与场强的关系求出场强。电路问题中电势和电势压(即电压)是一个很有用的概念。电势是普遍描述电场的电磁势的特例。

物理原理

电势梯度电势梯度(1) 带电量q的电荷由电场中某点A移到参考点O(即零势能点,一般取无限远处或者大地为这个零势能点),电场力做功WAO(将这个电荷从A点移至零势能点电场力做的功)跟这个电荷的电量q比值叫(AO两点电势差)A点电势,

电势也是只有大小,没有方向,也是标量。和地势一样,电势也具有相对意义,在具体应用中,常取标准位置的电势能为零,所以标准位置的电势也为零。电势只不过是和标准位置相比较得出的结果。我们常取地球为标准位置;在理论研究时,我们常取无限远处为标准位置,在习惯上,我们也常用“电场外”这样的说法来代替“零电势位置”。 电势是一个相对量,其参考点是可以任意选取的。无论被选取的物体是不是带电,都可以被选取为标准位置 -------零参考点。例如地球本身是带负电的,其电势相对于无穷远处约为8.2×10^8V。尽管如此,照样可以把地球作为零电势参考点,同时由于地球本身就是一个大导体,电容量很大,所以在这样的大导体上增减一些电荷,对它的电势改变影响不大。其电势比较稳定,所以,在一般的情况下,还都是选地球为零电势参考点。

电势的特点是:不管是正电荷的电场线还是负电荷的电场线,只要顺着电场线的方向总是电势减小的方向,逆着电场线总是电势增大的方向。

正电荷电场中各点电势为正,远离正电荷,电势降低。

负电荷电场中各点电势为负,远离负电荷,电势增高。

物理意义:

(1)由电场中某点位置决定,反映电场能的性质。

(2)与检验电荷电量、电性无关。

(3)表示将1C正电荷移到参考点电场力做的功。

电势差与电势的关系:

电势差与电势的关系电势差与电势的关系

电场力做功:

①公式:W=qU

②∵ U由电场中两点位置决定,∴W由q,U决定与路径无关,和重力做功一样,属于保守力做功。

③特点:电场力做功由移动电荷和电势差决定,与路径无关。

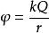
电荷周围产生的静电场的电势差与电势的公式与推导: 对于一个正点电荷带电量为Q,在它的周围有向外辐射的电场。任取一条电场线,在上面任取一点A距厂源电荷为r,在A点放置一个电荷量为q的点电荷。使它在电场力作用下沿电场线移动一个很小的位移△x.由于这个位移极小,所以认为电场力在这段位移上没有改变,得φ=KQ(1/r)。

物理方法

电势梯度电势梯度(1)由电场中某点位置决定,反映电场能的性质。

(2)与检验电荷电量、电性无关。

(3)表示将1C正电荷从参考点移到零势点电场力做的功。

电荷周围产生的静电场的电势差与电势的公式与推导:

一场源点荷为Q,在距Q为r的A点有一点电荷为q,求证:此A处电势

证明:我们取的是r(i+1)-r(i)=△r, △r→0

那么r(i+1)到r(i),也就是△r这一段内的库仑力可以看做常量F(r(i))=kQq/(r(i))^2

那么这一段内库仑力做功:

△W(i)≈F(r(i))·△r=kQq·△r/(r(i))^2≈kQq·△r/(r(i)·r(i+1))=

kQq·(r(i+1)-r(i))/(r(i)·r(i+1))=kQq·(1/r(i)-1/r(i+1)) 这样后再累加起来就是

∑△W(i)=W=kQq/r(1)-kQq/r(n) 得到公式 

公式公式

等量同种点电荷电势分布:

(1)正点电荷连线上:中点电势最低,从中点向两侧电势逐渐升高;

(2)连线中垂线上:从中点向中垂线两侧电势降低,直至无限远处电势为零;

(3)负点电荷的情况正好相反。

等量异种点电荷电势分布:

(1)点电荷连线上:沿电场线方向,电势从正电荷到负电荷依次降低;

(2)连线中垂线上:中垂线上任意两点之间电势差为零,即中垂线上电势为零。

研究领域

细胞膜电势:

细胞是生命活动的基本单位.生物体的每个细胞都被厚度约为(60~100)×10-10m的细胞膜所包围,细胞膜内、外都充满液体,在液体中都溶有一定量的电解质。细胞膜由两个分子厚度的被称为类脂双层的卵磷脂层所组成。卵磷脂分子为两亲分子,其疏水链向膜的中间,亲水部分伸向膜的内、外两侧,球形蛋白分子分布在膜中,有的蛋白分子一部分嵌在膜内,一部分在膜外,也有的蛋白分子横跨整个膜。这些膜蛋白在生物体的活性传递和许多化学反应中起催化作用,并充当离子透过膜的通道。细胞膜在生物体的细胞代谢和信息传递中起着关键的作用。

在细胞膜内外的电解质中,K+离子比Na+和Cl-离子更容易透过细胞膜,因此细胞膜两侧K+离子的浓度差最大。静止神经细胞内液体中K+离子的浓度是细胞外的35倍左右。为简单起见,不考虑Na+、Cl-和H2O透过细胞膜的情况,只考虑K+离子透过细胞膜。膜电势是膜两边离子有选择性地穿透膜而使两边浓度不等而引起的电位差,它是指膜两侧的平衡电势差。设用适当的装置,将细胞内、外液体组成以下电池:

Ag,AgCl| KCl(aq)|内液(β)|细胞膜|外液(α)|KCl(aq)| AgCl,Ag

由于细胞内液卢相中K+离子浓度比。相中的浓度大,所以K+离子倾向于由β相穿过膜向细胞膜外液α相扩散,致使α相一边产生净正电荷,而在β相一边产生负电荷。α相一边产生的正电荷会阻止K+进一步向α相扩散,而β相产生的负电荷会加速K+从α相向β相扩散,最后达到动态平衡,此时K+离子在α和β两相中的电化学势相等,由于K+离子从β相向α相转移,造成α相的电势高于β相。

在生物化学中,习惯于用下式表示:膜电势。

细胞膜电势的存在意味着细胞膜上有一双电层,相当于一些偶极分子分布在细胞表面。例如心脏的心肌收缩和松弛时,心肌细胞膜电势不断变化,因此心脏总的偶极矩以及心脏所产生的电场也在变化。心动电流图,即心电图就是测量人体表面几组对称点之间由于心脏偶极矩的变化所引起的电势差随时间的变化情况,从而判断心脏工作是否正常。类似的肌动电流图是监测肌肉电活性的情况,这对指导运动员训练有一定的帮助。脑电图是监测头皮上两点之间的电势差随时间的变化从而了解大脑神经细胞的电活性情况。实验表明,我们的思维以及通过视觉、听觉和触觉器官接受外界的感觉,所有这些过程都与细胞膜电势的变化有关,了解生命需要了解这些电势差是如何维持以及如何变化的,这个研究领域正越来越为人们重视。

应用领域

超导结和耦合超导结:

(1) 热噪声在超导结中引起的静电势的多次增加和多次减少: 研究人员研究了在过阻尼和欠阻尼两种情况下、在考虑了热噪声和有交流信号和直流信号同时输入的情况下的超导结两端的静电势。研究表明,随着温度的增加(热噪声的强度和温度成正比),静电势会多次被增加和多次被减小 (静电势多次被增加的峰值对应于静电势的共振激活现象)。另外,超导结两端的静电势还表现出(噪声引起的) 热噪声加强稳定的现象。

(2) 耦合超导结系统(或器件)中时空噪声的出现和其对输运的影响: 在该研究中,研究人员首次发现了时空噪声可能出现在耦合超导结系统(一个超导量子干涉器件)中,并且时空噪声与电子对的波函数的相差的关联所引起的系统的对称破缺能够引起输运。通过对两个模型(一个高斯噪声模型和一个电报噪声模型)的研究,研究人员发现在所研究的耦合超导结系统中几率流总是负的并且随着热噪声强度的增加而会出现一个“井”。根据研究人员的研究结果,研究人员可以控制噪声使几率流处于有利于科研人员的实验要求的状态。比如,如果研究人员希望在实验中得到较大的负几率流时,研究人员可以采取下面的两个措施:a). 在一定的环境扰动下,我们可以适当地调整温度使负几率流处于上面所提到的“井” 的附近 (热噪声的强度与温度成正比)以便于得到有利于我们实验要求的结果;b). 在一定的温度下,研究人员们应当采取一定的措施来调节环境扰动以便使负几率流的绝对值尽可能地大。

(3) 一个热-惯性“ratchet”超导量子干涉器件(耦合超导结)中的混沌噪声输运:研究了一个热-惯性“ratchets”超导量子干涉器件中在有周期信号的输入的情况下的混沌噪声输运。 研究表明,通过控制温度和外部输入信号的强度,研究人员可以使输运的方向反号。当温度足够低时,研究人员很容易得到混沌输运; 但当温度足够高时,输运主要是热噪声输运。

(4) 环境扰动下的耦合超导结: 研究人员在考虑了内部热涨落和外部环境扰动的情况下研究了一个SQUID[超导量子干涉器件(耦合超导结)],发现外部环境的扰动可在SQUID中引起输运,通过控制内部热涨落和外部环境的扰动之间的关联可使静电势反号;并发现随着系统内部温度的增加,电流—电压特性越来越接近于正常状态下的欧姆定律。

(5) 热涨落和环境扰动的关联可在单个超导结中引起的静电势:它们却在国际上激起了大量科研工作者的研究兴趣。在相关论文中研究人员研究了外部环境的扰动所引起的噪声与内部热涨落的关联在超导结中所引起的静电势。研究表明,系统内部的热涨落和外部环境的扰动之间的关联可以引起对称破缺,从而在超导结中引起静电势。

知名学者

伏特(AlessandroVlota,1745~1827),意大利物理学家。1745年2月18日生于科摩,成年后出于好奇,才去研究自然现象。1774年伏特担任科摩大学预科物理教授。

伏特在物理学方面做出了许多重要贡献,他发明过起电盘,发明过验电器、储电器等多种静电实验仪器。

伏特最显赫的功绩是发明了伏特电池。伏特电池的出现对电学的发展却产生的深远的影响,开创了一个新的广阔天地,成为人类征服自然的最有力的武器。伏打成为第一个使人类获得持续电流的最伟大的发明家。

伽伐尼在1786年和1792年在实验中观察到用铜钩挂起来的蛙腿在碰到铁架时会发生痉挛。他认为这是生物电产生的效果。伏特认为上述现象的产生是由于两种不同金属接触时所产生的电效应。两种观点曾引起了十年之久的争论。此期间,伏特进行了大量的实验。他先后采用了多种不同金属,放在各种液体中进行了几百次实验,终于发明了伏特电池。1800年他正式向英国皇家学会报告了他的发现,从此产生稳恒电流的装置开始在电磁学研究中发挥了巨大作用。

国际单位制中的电势、电势差和驱动电流的电动势的单位伏特,就是为纪念他而以他的姓氏命名。

专用名词

电势能

静电场中的势能。一点电荷在静电场中某两点(如A点和B点)的电势能之差等于它从A点移动到另B点时,静电力所作的功。 故WAB=qEd (E为该点的电场强度,d为沿电场线的距离) ,电势能是电荷和电场所共有的,具有统一性。

电势能反映电场和处于其中的电荷共同具有的能量。

电势能可以由电场力做功求得,因为 W AB=qUAB=q(ΦA- ΦB)=qΦA-qΦB=EA(初) — Eb(末)= -△E,

(Φ为电势,q为电荷量,U为电势差,EA(初)、EB(末)为两个点的电势能)。

电场力做功跟电势能变化关系:

WAB>0,△Ep<0,电场力做正功,电势能减小~转化成其他形式的能;

WAB<0,△Ep>0,电场力做负功,电势能增加~其它形式的能转化成电势能。

顺着电场线,A→B移动,若为正电荷,则WAB>0,则UAB=ΦA-ΦB>0,则Φ↓,则正Ep↓;

若为负电荷,则WAB<0,则UAB=ΦA-ΦB>0,则Φ↓,则负Ep↑。

逆着电场线,B→A移动,若为正电荷,则WBA<0,则UBA=ΦB-ΦA<0,则Φ↑,则正Ep↑;

若为负电荷,则WBA>0,则UBA=ΦB-ΦA<0,则Φ↑,则负Ep↓;

静电力做的功等于电势能的减少量。

Wab=Epa-Epb

电势能公式与电场,处于电场中的电荷及电势能零点的选择有关,对于点电荷(电量为q)产生的静电场,其电势能与电荷q所处空间位置到点电荷所在位置的距离r有如下关系:We=kQq/r。其中k为常数。

这里注意没有负号,和引力势不同,这是因为引力方向是指向对方的,而当Q,q都是正号时,电场力(库仑力)是相互排斥的。

电荷在电场中某点的电势能的大小等于把电荷从该点移到电势能为零的点,电场力做的功。

大小判断

1.场源电荷判断法:离场源正电荷越近,试探正电荷的电势能越大,试探负电荷的电势能越小

2.电场线法:正电荷顺着电场线的方向移动时,电势能逐渐减小,逆着电场线的方向移动时,电势能逐渐增大

负电荷顺着电场线的方向移动时,电势能逐渐增大,逆着电场线的方向移动时,电势能逐渐减小

3.做功判断法:无论正负电荷,电场力做正功,电荷的电势能就一定减小,电场力做负功,电荷的电势能就一定增加

零势能处可任意选择,但在理论研究中,常取无限远处或大地的电势能为0.

取无穷远为电势零:①正电荷产生的电场中Φ>0,远离场源电荷Φ↓:移动正检验电荷W>0,Ep↓;

移动负检验电荷W<0,Ep↑。

②.负电荷产生的电场中Φ<0,远离场源电荷Φ↑:移动正检验电荷W<0,Ep↑;

移动负检验电荷W>0,Ep↓。

附:

1. 只在电场力作用下:

(1).电场力做正功,电势能减少,动能增加。即:电能转化为其它形式能(动能)

(2).电场力做负功,电势能增加,动能减少。即:其它形式能(动能)转化为电能

2. 不只受电场力作用:

(1)电场力做正功,电势能减少,动能如何变化不确定。

(2)电场力做负功,电势能增加,动能如何变化不确定。

注:电势能是标量。

电势差

a.电势差概念的建立:

在重力场中物体在重力作用下做功越多,则两点间高度差越大。

在电场中电荷在电场力作用下做功越多,则称这两点间“电势差”越大。从而建立了重力场中的高度差和电场中的电势差之间的类比关系。

考虑到重力场中有:hAB=WAB/mg, hAB表示重力场中两点高度差,WAB表示物体由A移到B重力做的功。

则hAB类比于电场中的电势差UAB,重力做功类比于电场力做功WAB,重力场中物体重力类比于电场中电荷带电量q,从而得出电势差的表达式:

电势差的表达式电势差的表达式

电势差是标量,符号U,单位是V,1V=1J/C

b.电势差的计算问题:

(1)电势能除了与电场有关外,还跟放入的电荷有关,和重力势能类似。

(2)电势差则与放入的电荷无关,仅取决于电场本身性质,对于一个确定的电场来说,某两点间的电势差是不变的。

(3)电势差的计算是标量运算,计算时注意需代入正负号,计算中W与U的脚标要对应即:

 

W与U的脚标要对应W与U的脚标要对应

W与U的脚标要对应W与U的脚标要对应

相关百科
返回顶部
产品求购 求购