球体表面积

球体表面积

中文名 球体表面积
公式 S=4πr²=πD²
r 半径
含义 球面所围成的几何体的面积
目录导航

计算公式

球体表面积球体表面积(3)球体表面积公式S=4πr²=πD²

公式证明

√表示根号

把一个半径为R的球的上半球横向切成n(无穷大)份, 每份等高

并且把每份看成一个类似圆台,其中半径等于该类似圆台顶面圆半径

则从下到上第k个类似圆台的侧面积 球体表面积球体表面积S(k)=2πr(k)×h

其中r(k)=√[R^2-﹙kh)^2],

h=R^2/{n√[R^2-﹙kh)^2}.

S(k)=2πr(k)h=(2πR^2)/n则 S=S(1)+S(2)+……+S(n)= 2πR^2;

乘以2就是整个球的表面积 4πR^2;

求体积求导

可以把半径为R的球看成像洋葱剥皮(非纵向或横向,而是环切)一样分成n层,每层厚为

计算公式计算公式

计算公式计算公式

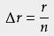
,半径获得增量时

计算公式计算公式

,体积增加的部分的体积就为

计算公式计算公式

球体表面积球体表面积

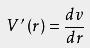
极限的思想:当n趋于无穷大的时候,记此时的半径差为dr,当r增量趋近于零时的增加体积dv。此时球的每层的厚度就薄的像个曲面一样,这部分很薄的体积除以dr就是球的表面积了。

导数定义为:当自变量的增量趋于零时,因变量的增量与自变量的增量之商的 极限。

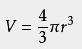
球的体积为

计算公式计算公式

,

计算公式计算公式

所以同时求导就可得S(r)=4πr^2, 球体表面积球体表面积

相关百科
返回顶部
产品求购 求购