瑞利数

瑞利数

中文名 瑞利数
符号 Ra
目录导航

基本内容

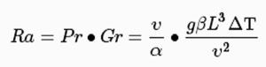
瑞利数的定义是:格拉晓夫数和和普朗特数的乘积,其中格拉晓夫数描述了流体的浮力和粘度之间的关系,普朗特数描述了动量扩散系数和热扩散系数之间的关系。因此,瑞利数本身也被视为浮力和粘性力之比与动量和热扩散系数之比的乘积。

瑞利数的公式定义为:

公式公式

其中:

为格拉晓夫数;

为普朗特数;

为重力加速度(自由落体加速度);

为流体体积膨胀系数;

为热力学温度;

为特征长度;

为运动粘度;

为热扩散系数;

为流体上下面温差值。

相关百科
返回顶部
产品求购 求购