CDMA 由于CDMA体制具有抗人为干扰、抗窄带干扰、抗多径干扰、抗多径延迟扩展的能力,同时具有提高蜂窝系统的通信容量和便于模拟与数字体制的共存与过渡等优点,使得CDMA数字蜂窝系统成为 TDMA数字蜂窝系统的强有力的竞争对手。
IS-95 CDMA 和 cdma2000 1x [2] 蜂窝系统为两种典型的CDMA系统,其相应的工作频带为
上行(移动台发,基站收)870~894MHz
下行(基站发,移动台收)825~849MHz
双工间隔为45MHz。
应用蜂窝结构的IS-95 CDMA 和cdma 2000-1x系统采用码分多址接入技术,载频间隔为1.23MHz,码片速率为1.2288Mchip/s,每个小区可采用相同的载波频率,即频率复用因子为1.
CDMA [3] 通信系统中,不同用户传输信息所用的信号不是靠频率不同或时隙不同来区分,而是用各自不同的编码序列来区分,或者说,靠信号的不同波形来区分。如果从频域或时域来观察,多个CDMA信号是互相重叠的。
码分多址接收机用相关器可以在多个CDMA信号中选出其中使用预定码型的信号。其它使用不同码型的信号因为和接收机本地产生的码型不同而不能被解调。它们的存在类似于在信道中引入了噪声和干扰,通常称之为多址干扰。
在CDMA蜂窝通信系统中,用户之间的信息传输是由基站进行转发和控制的。为了实现双工通信,正向传输和反向传输各使用一个频率,即通常所谓的频分双工。无论正向传输或反向传输,除去传输业务信息外,还必须传送相应的控制信息。为了传送不同的信息,需要设置相应的信道。但是,CDMA通信系统既不分频道又不分时隙,无论传送何种信息的信道都靠采用不同的码型来区分。类似的信道属于逻辑信道,这些逻辑信道无论从频域或者时域来看都是相互重叠的,或者说它们均占用相同的频段和时间。
1.扩频原理
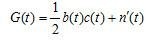
扩频原理框图下图所示。由图可见,发射端是将待传输的信息码a(t)经编码后,先对伪随机码c(t)进行扩频调制,然后再对射频进行调制,得到输出信号为:
s(t)=b(t)c(t)
式中:c(t)的速率(chip/s)为Rc,b(t)的速率(bit/s)为Rb。通常Rc远大于Rb,因而调制后的扩频信号带宽主要取决于c(t)带宽。
码分多址
信号通过无线传输后,将会受到噪声和其他信号的干扰。因此,接收端所收到的信号除有用信号外,还包含有干扰信号。即:
码分多址
式中n(t)为噪声和干扰信号的总和。
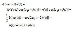
接收机接收到的信号先用相干载波进行解调。
码分多址
z(t)经宽带(带宽约为码片速率)滤波后,得:
码分多址
并将G(t)与本地伪随机码c′(t)相乘,即进行解扩处理。因c′(t)与发端的c(t)码完全一致,所以输出信号V0(t)再经基带滤波器,基带滤波器的带宽为信号b(t)的带宽,远小于解扩之前的宽带滤波器带宽,而还是宽带信号,经基带滤波后就只剩下很小一部分噪声功率。处理后为,其信号功率不变。所以解扩输出的信噪比要比解扩输入的信噪比大得多。再经解码器,就恢复成原始信号。
码分多址
码分多址
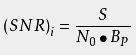
2.扩频系统对噪声和干扰的抑制能力
扩展频谱系统引入“处理增益”GP的概念来衡量对噪声和干扰的抑制能力,GP定义为接收机解扩器输出信噪比与输入信噪比之比,即:

![]()
越大,则抗干扰性能越强。
扩频系统有如下的抗噪声和抗干扰性能:
首先,扩频系统具有较强的抗 白噪声性能。由于白噪声的功率谱是均匀分布在整个频率范围内,经解扩器后,其噪声功率谱密度分布不变,而信号经过相关解扩后,却变为窄带信号,但信号功率不变。我们可以用一个窄带滤波器排除带外的噪声,于是窄带内的信噪比就大大提高了。
若白噪声 功率谱密度为N0,则解扩器的输入信噪比和输出信噪比分别为

和

式中:BP为扩频后(解扩前)信号所占有的带宽;Bm为扩频前(解扩后)信号所占有的带宽。于是有:
该式说明扩频系统对白噪声干扰的处理增益等于扩频后信号所占的带宽BP(或信息速率RP)与扩频前信号所占的带宽Bm(或信息速率Rm)之比。
其次,扩频系统具有抗单频和窄带干扰能力。单频干扰是一条线谱,经过相关解扩后,线谱被扩展为BP宽的功率谱,这时通过带通滤波器的干扰功率仅为输入干扰功率的Bm/BP倍。所以,处理增益同样为
码分多址
扩频系统还具有抗宽带干扰性能。宽带干扰是指那些所占频带与扩频信号频带可以相比拟的信号,如多径干扰和多址干扰信号。由于这些干扰信号对有用信号是不相关的,经解扩后能量有所分散,不能像有用信号那样成为窄带信号。如果干扰信号的频谱足够宽时,则处理增益与白噪声的处理增益相同,即:
码分多址
CDMA(3)扩频CDMA数字蜂窝系统 [4] 是频带资源共享的,在一个CDMA蜂窝系统中各个小区都共享一个频带。从频率重用角度来说,蜂窝区群结构的关系大为减弱了。在CDMA系统中,蜂窝结构(包括扇区结构)的考虑在于频带资源共享后的多用户干扰的影响。
①CDMA蜂窝系统的信号带宽
窄带CDMA蜂窝系统频谱带宽的确定,是基于如下考虑:
频谱资源的限制;
系统容量;
多径分离;
扩频处理增益。
②码分多址与蜂窝系统的小区和扇区
在扩频CDMA蜂窝系统之间是采用频分的,即不同的CDMA蜂窝系统占用不同频段的1.23MHz带宽。而在一个扩频CDMA蜂窝系统之内,则是采用码分站址的,即对不同的小区和扇区基站分配不同的码型。
①物理信道
将BS到MS方向的链路称为前向链路,将MS到BS方向的链路称为反向链路。前向链路和反向链路均是由码分物理信道构成。
②逻辑信道
利用码分物理信道可以传送不同功能的信息。依据所传送的信息功能不同而分类的信道,称为逻辑信道,
CDMA(3)CDMA是移动通信技术的发展方向。在2G阶段,CDMA增强型IS95A与GSM在技术体制上处于同一代产品,提供大致相同的业务。但CDMA技术有其独到之处,在通话质量好、掉话少、低辐射、健康环保等方面具有显著特色。在2.5G阶段,CDMA20001XRTT与GPRS [5] 在技术上已有明显不同,在传输速率上1XRTT高于GPRS,在新业务承载上1XRTT比GPRS成熟,可提供更多的中高速率的新业务。从2.5G向3G技术体制过渡上,CDMA20001.X向CDMA20003.X过渡比GPRS向WCDMA过渡更为平滑。
CDMA(3)1.CDMA是扩频通信的一种,它具有扩频通信的以下特点:
⑴抗干扰能力强。这是扩频通信的基本特点,是所有通信方式无法比拟的。
⑵宽带传输,抗衰落能力强。
⑶由于采用宽带传输,在信道中传输的有用信号的功率比干扰信号的功率低得多,因此信号好像隐蔽在噪声中;即功率谱密度比较低,有利于信号隐蔽。
⑷利用扩频码的相关性来获取用户的信息,抗截获的能力强。
2.在扩频CDMA通信系统中,由于采用了新的关键技术而具有一些新的特点:
⑴采用了多种分集方式。除了传统的空间分集外。由于是宽带传输起到了频率分集的作用,同时在基站和移动台采用了RAKE接收机技术,相当于时间分集的作用。
⑵采用了话音激活技术和扇区化技术。因为CDMA系统的容量直接与所受的干扰有关,采用话音激活和扇区化技术可以减少干扰,可以使整个系统的容量增大。
⑶采用了移动台辅助的软切换。通过它可以实现无缝切换,保证了通话的连续性,减少了掉话的可能性。处于切换区域的移动台通过分集接收多个基站的信号,可以减低自身的发射功率,从而减少了对周围基站的干扰,这样有利于提高反向联路的容量和覆盖范围。
⑷采用了功率控制技术,这样降低了平准发射功率。
⑸具有软容量特性。可以在话务量高峰期通过提高误帧率来增加可以用的信道数。当相邻小区的负荷一轻一重时,负荷重的小区可以通过减少导频的发射功率,使本小区的边缘用户由于导频强度的不足而切换到相临小区,使负担分担。
⑹兼容性好。由于CDMA的带宽很大,功率分布在广阔的频谱上,功率话密度低,对窄带模拟系统的干扰小,因此两者可以共存。即兼容性好。
⑺CDMA的频率利用率高,不需频率规划,这也是CDMA的特点之一。
⑻CDMA高效率的OCELP话音编码。话音编码技术是数字通信中的一个重要课题。OCELP是利用码表矢量量化差值的信号,并根据语音激活的程度产生一个输出速率可变的信号。这种编码方式被认为是效率最高的编码技术,在保证有较好话音质量的前提下,大大提高了系统的容量。这种声码器具有8kbit/S和13kbit/S两种速率的序列。8kbit/S序列从1.2kbit/s到9.6kbit/s可变,13kbit/S序列则从1.8kbt/s到14.4kbt/S可变。最近,又有一种8kbit/sEVRC型编码器问世,也具有8kbit/s声码器容量大的特点,话音质量也有了明显的提高。
CDMA(3)⑴在小区的规划问题上,虽然CDMA无需频率规划,但它的小区规划却并非十分容易。由于所有的基站都使用同一个频率,相互之间是存在干扰的,如果小区规划做得不好,将直接影响话音质量和使系统容量打折扣,因而在进行站距、天线高度等方面的设计时应当小心谨慎。
⑵其次,在标准的问题上,CDMA的标准并不十分完善。许多标准都仍在研究才试制定之中。如A接口,各厂家有的提供IS一634版本0,有的支持Is-634版本。还有的使用Is-634/TSB-80。因此对于系统运营商来说,选择统一的A接口是比较困难的。
⑶由于功率控制的误差所导致的系统容量的减少。
CDMA(3)第三代移动通信系统(简称3G)的技术发展和商用进程是近年来全球移动通信产业领域最为关注的热点问题之一。国际上最具代表性的3G技术标准有三种,分别是TD-SCDMA、WCDMA和CDMA2000。其中TD-SCDMA属于时分双工(TDD)模式,是由中国提出的3G技术标准;而WCDMA和CDMA2000属于频分双工(FDD)模式,WCDMA技术标准由欧洲和日本提出,CDMA2000技术标准由美国提出。
CDMA(3)CDMA技术的出现源自于人类对更高质量 无线通信的需求。第二次世界大战期间因战争的需要而研究开发出CDMA技术,其思想初衷是防止敌方对己方通讯的干扰,在战争期间广泛应用于军事抗干扰通信,后来由美国高通公司更新成为商用蜂窝电信技术。1995年,第一个CDMA商用系统运行之后,CDMA技术理论上的诸多优势在实践中得到了检验,从而在北美、南美和亚洲等地得到了迅速推广和应用。全球许多国家和地区,包括中国香港、韩国、日本、美国都已建有CDMA商用网络。在美国和日本,CDMA成为国内的主要移动通信技术。在美国,10个移动通信运营公司中有7家选用CDMA。韩国有60%的人口成为CDMA用户。在澳大利亚主办的第27届奥运会中,CDMA技术更是发挥了重要作用。
CDMA技术的标准化经历了几个阶段。IS-95是cdmaONE系列标准中最先发布的标准,真正在全球得到广泛应用的第一个CDMA标准是IS-95A,这一标准支持8K编码话音服务。其后又分别出版了13K话音编码器的TSB74标准,支持1.9GHz的CDMAPCS系统的STD-008标准,其中13K编码话音服务质量已非常接近有线电话的话音质量。随着移动通信对数据业务需求的增长,1998年2月,美国高通公司宣布将IS-95B标准用于CDMA基础平台上。IS-95B可提供CDMA系统性能,并增加用户移动通信设备的数据流量,提供对64kbps数据业务的支持。其后,cdma2000成为窄带CDMA系统向第三代系统过渡的标准。cdma2000在标准研究的前期,提出了1X和3X的发展策略,但随后的研究表明,1X和1X增强型技术代表了未来发展方向。
CDMA技术的标准化,推进了这项技术在世界范围的应用。在美国、韩国、日本等国家,CDMA技术已获得了较大规模的应用。在一些欧洲国家,一些运营商也建起了CDMA网络。据CDG(世界CDMA发展集团)统计,1996年底CDMA用户仅为100万;到1998年3月已迅速增长到1000万;截至1999年9月,用户数量已超过4000万。2000年初全球CDMA移动电话用户的总数已突破5000万,在一年内用户数量增长率达到118%。CDG表示,亚洲已经成为CDMA市场增长的主要动力,亚洲地区CDMA用户数量比一年前增长88%,达到2800万。美国地区的增长率更是高达143%,达到1650万,但用户绝对数量要低于亚洲,在亚太地区,中国香港、日本、韩国、澳大利亚、泰国、印度、菲律宾、新西兰、孟加拉国等许多国家和地区都已建有CDMA商用网络,用户数量已超过2100万户。增长率位于第三的是中美洲和南美洲,CDMA用户数量达到500万。CDG还表示,今后全球CDMA市场中,中国大陆地区的增长潜力最大,估计2003年中国大陆市场的用户数量可以达到4000万。
CDMA移动通信网 [6] 是由扩频、 多址接入、蜂窝组网和频率复用等几种技术结合而成,含有频域、时域和码域三维信号处理的一种协作,因此它具有抗干扰性好,抗多径衰落,保密安全性高,同频率可在多个小区内重复使用,容量和质量之间可做权衡取舍等属性。这些属性使CDMA比其它系统有很大的优势。
1、系统容量大
理论上,在使用相同频率资源的情况下,CDMA移动网比模拟网容量大20倍,实际使用中比模拟网大10倍,比GSM要大4-5倍。
2、系统容量的配置灵活
在CDMA系统中,用户数的增加相当于背景噪声的增加,造成话音质量的下降。但对用户数并无限制,操作者可在容量和话音质量之间折衷考虑。另外,多小区之间可根据话务量
码分多址
和干扰情况自动均衡。
这一特点与CDMA的机理有关。CDMA是一个自扰系统,所有移动用户都占用相同带宽和频率,打个比方,将带宽想像成一个大房子,所有的人将进入惟一的大房子。如果他们使用完全不同的语言,他们就可以清楚地听到同伴的声音而只受到一些来自别人谈话的干扰。在这里,屋里的空气可以被想像成宽带的载波,而不同的语言即被当作编码,可以不断地增加用户直到整个背景噪音就限制住了。如果能控制住用户的信号强度,在保持高质量通话的同时,就可以容纳更多的用户。
3、通话质量更佳
TDMA的信道结构最多只能支持4Kb的语音编码器,它不能支持8Kb以上的语音编码器。而CDMA的结构可以支持13kb的语音编码器。因此可以提供更好的通话质量。CDMA系统的声码器可以动态地调整数据传输速率,并根据适当的门限值选择不同的电平级发射。同时门限值根据背景噪声的改变而变,这样即使在背景噪声较大的情况下,也可以得到较好的通话质量。另外,TDMA采用一种硬移交的方式,用户可以明显地感觉到通话的间断,在用户密集、基站密集的城市中,这种间断就尤为明显,因为在这样的地区每分钟会发生2至4次移交的情形。而CDMA系统“掉话”的现象明显减少,CDMA系统采用软切换技术,“先连接再断开”,这样完全克服了硬切换容易掉话的缺点。
4、频率规划简单
用户按不同的序列码区分,所以不相同CDMA载波可在相邻的小区内使用,网络规划灵活,扩展简单。
5、建网成本低
CDMA技术通过在每个蜂窝的每个部分使用相同的频率,简化了整个系统的规划,在不降低话务量的情况下减少所需站点的数量从而降低部署和操作成本。CDMA网络覆盖范围大,系统容量高,所需基站少,降低了建网成本。
CDMA数字移动技术与现在众所周知的GSM数字移动系统不同。模拟技术被称为第一代移动电话技术,GSM是第二代,CDMA是属于移动通讯第二代半技术,比GSM更先进。
1.CDMA系统概念
CDMA系统是基于码分技术(扩频技术)和多址技术的通信系统,系统为每个用户分配各自特定地址码。地址码之间具有相互准正交性,从而在时间、空间和频率上都可以重叠;将需传送的具有一定信号带宽的信息数据,用一个带宽远大于信号带宽的伪随机码进行调制,使原有的数据信号的带宽被扩展,接收端进行向反的过程,进行解扩,增强了抗干扰的能力。
CDMA系统属于子干扰系统。
2.CDMA系统时间
系统零时:定义1980年1月6日0时整为系统起始时间。偏置为零的长码和短码此时同时处于初始状态。
所有基站将在GPS时间的每个偶秒起始时刻(或在此之后80ms整数倍处)作为0偏置PN码(周期为80/3ms)的初态,即在此之前恰好输出了1个“1”和连续15个“0”这样的PN码片。
所有基站需将1980年1月6日零时(GPS起始时间)作为m序列长码的初态(在此之前恰好输出了一个“1”码片和41个连续的“0”码片)。
使用GPS定时的好处:切换快,同步简单。
3.CDMA系统缺点
来自非同步CDMA网中不同的用户的扩频序列不完全正交,从而引起多址干扰。
由于使用相同的载频,许多用户共用一个信道,强信号对弱信号有着明显的抑制作用,从而产生“远--近”效应,影响用户通话。
CDMA系统中采用功率控制技术解决“远---近”效应。
4.中国CDMA系统频率使用规划
联通新时空CDMA占用的载频上行(825MHz-835MHz)下行(870MHz-880MHz)
载频计算:
上行:载频=0.030MHz*载频号+825.000MHz
下行:载频=0.030MHz*载频号+870.000MHz
载频号信道号上行(MHz)下行(MHz)
7283833.49878.49
6242832.26877.26
5201831.03876.03
4160829.80874.80
3119828.57873.57
278827.34872.34
137826.11871.11
CDMA网络运营商更换
2008年6月3日中国联通与中国电信就c网出售达成框架协议,双方将共同保障用户的服务和权益不受影响。
2008年国庆节后,cdma将成为中国电信大家庭中一员,在移动通信领域与联通和移动两家运营商并驾齐驱。
中国联通的CDMA网络业务与技术从2008年10月1日起正式转交给中国电信。
9.1IS-95系统的空中接口参数
北美开发的第二代蜂窝系统除了IS-136系统以外,还有以CDMA技术为基础的IS-95系统。IS-95系统将一个无线小区中的用户连接到同一频率信道,各自用不同特征的码加以区别。给每个用户分配的伪随机码(或称伪噪声码,因它具有近似白噪声的自相关特性)具有优良的自相关和互相关性能(自相关系数大,互相关系数小)。这些比用户信号速率高得多的码序列,将用户信号变成宽带信号。在发送端,把各用户的信号放在一个公共的频带上传输;在接收端,各用户收到的信号中,除了本用户的有用信号外,还包含有其他用户的信号。这些信号经接收机用与发端相同的该用户的码序列,利用自相关特性,将有用的宽带信号变换成原来的窄带信号,而其他用户的宽带信号由于不相关仍然是宽带信号,经基带滤波后,就能得到具有较高的解扩输出信噪比的有用信号。
IS-95包括IS-95A和IS-95B。IS-95空中接口参数如表1所示。
表1IS-95空中接口参数
带宽 |
1.25MHz |
码片速率 |
1.2288Mchip/s |
上行链路带宽 |
869~894MHz 1930~1980MHz |
下行链路带宽 |
824~849MHz 1850~1910MHz |
帧长度 |
20ms |
比特率 |
速率集1:9.6kbit/s 速率集2;14.4kbit/s IS-95B:115.2kbit/s |
语音编码器 |
QCELP8kbit/s ACELP13kbit/s KVRC8kbit/s |
软切换 |
是 |
功率控制 |
上行:开环+快速闭环 下行:慢性环 |
RAKE分支数目 |
4 |
扩频码 |
沃尔什函数+长M序列 |
9.2IS-95系统中的信道
(1)前向信道 [7]
IS-95系统在前向信道上采用了频分、 伪随机码分和 正交信号多址相结合的方式,将可用的蜂窝频谱划分为1.23MHz带宽的频率信道,在一个频率信道上利用沃尔什函数对各用户的信息和不同种类的信令信息进行扩频编码形成逻辑信道。这些逻辑信道包括:
导频信道:移动台利用导频信道作相位定时和频率参考以及在切换时用于信号强度比较(功率控制测量)即移动台使用导频信道进行相干解调、捕获、时间延迟追踪、功率控制测量,并辅助进行切换。
同步信道:使移动台确定系统时间和基站导频偏置。只有在完成同步过程后,移动台才能利用导频信号实现接收解调。同步信道中的信息包括寻呼信道的数据速率,相对系统时间的基站导频伪随机序列的时间等。
寻呼信道:用来传送系统开销信息和移动台特定消息,以寻呼一个移动台。当移动台被呼时,基站就在寻呼信道上广播移动台的识别码,被呼的移动台收到识别码后,在上行接入信道上作出响应。
业务信道:载有编码后的用户业务信息,这些业务信息的速率是可变的。
(2)反向信道
在反向信道上,为要与基站进行信息传输的各移动台分配一个独有相位的长伪随机码对信息进行调制,并在同一频率信道上向基站发送。上行的逻辑信道包括:
接入信道:移动台在接入信道上响应基站的呼叫、发起呼叫和位置登记。各小区接入信道的长码序列相位是预先规定的。
业务信道:载有编码后的用户业务信息,这些业务信息的速率是可变的。
9.3IS-95系统的链路结构
(1)下行链路结构
图6是IS-95系统空中接口的下行链路信道结构。
图6说明如下:
导频信道是由Walsh函数W0进行扩频调制的,用来传送未调制的扩频信号。基站在整个工作期间都发送导频信号。为了便于移动台的准确跟踪,导频信道的发射功率要比其他信号大得多。
同步信道是由Walsh函数W32进行扩频调制的用来传送一个经过编码、重复、交织扩频和调制的同步信号。在获得相位和编码同步后,移动台从同步信道上获得同步信息。因为同步信道帧同步导频序列的帧长度相同,因此同步信道很容易捕获。同步信道的工作速率固定在1.2kbit/s。
寻呼信道是由Walsh函数W1~W7进行扩频调制的,寻呼信道的工作速率固定在9.6kbit/s或4.8kbit/s。经卷积编码、重复和块交织后,用周期为242-1、速率为1.2288Mchip/s的长码,每隔64个码片用一个码片对寻呼信道的信息进行扰码。
导频信道、同步信道和寻呼信道都是公共控制信道,公共信道是一个共享的信道。
业务信道是专用信道。专用信道仅仅分配给单个用户(某一时间内)使用。业务信道是由Walsh函数W8~W31和W33~W63进行扩频调制的。业务信道有两个速率集合。速率集合1支持数据速率9.6kbit/s、4.8kbit/s、2.4kbit/s和1.2kbit/s,速率集合2支持14.4kbit/s、7.2kbit/s、3.6kbit/s和1.8kbit/s。移动台必须能支持速率集合1。
同步、寻呼和业务信道上的信息要进行信道编码、重复、交织和扩频等。在同步、寻呼和业务信道上的数据首先进行分组并放进20ms的帧中(如采用码激励线性预测编码(CELP),全速率为9.6kbit/s,每帧192bit,其中172bit为信息业务比特,帧质量指示为12bit,用于接收端的纠错和检错以及协助决定接收的速率;编码器尾比特为8bit),进行信道编码。信道编码是对要传输的数据实施约束长度为K=9、效率R=1/2的卷积编码。因为要传输的数据速率是变化的,所以在交织前要进行符号重复以获得固定的速率。同步信道上的每个卷积编码符号重复一次(即每个符号连续出现两次)。寻呼信道上4800bit/s的每个卷积编码符号重复一次。前向(下行)业务信道上的编码符号重复次数随数据速率的变化而变化。编码符号在14.4kbit/s和9.6kbit/s的速率上不重复;编码符号在7.2kbit/s和4.8kbit/s的速率上重复一次;编码符号在3.6kbit/s和2.4kbit/s的速率上重复3次;编码符号在1.8kbit/s和1.2kbit/s的速率上重复7次。重复后进行块交织。然后与寻呼信道一样,用周期为242-1、速率为1.2288Mchip/s的长码,每隔64个码片用一个码片对寻呼信道的信息进行扰码。在业务信道信息进行扩频前,还要在业务信息中每1.25ms插入一个功率控制比特。插入功率控制比特的作用是控制移动台的发射功率。
导频信道、同步信道、 寻呼信道和业务信道在用Walsh函数扩频后,分别被分为两路,用周期为215-1、速率为1.2288Mchip/s的短伪随机码进行正交扩频调制,该短码可以作为基站识别符。最后,分别经各自的基带滤波器后进行载波正交调制,得到扩频后的已调波。如图7所示。
从以上过程可见,一个导频信道、一个 同步信道、七个寻呼信道和55个业务信道,最后都被调制在一个相同的载波上发射出去。也就是说,系统内其他用户信号相对于某个用户的信号来说,均为干扰。所以说,IS-95系统是一种受自身干扰的系统。
码分多址
(2)Walsh函数的生成
在IS-95系统中,区分下行链路中的各信道是用Walsh函数实现的。Walsh函数是正交函数,即各函数之间同步时是互相正交的。
Walsh函数的生成方式如下:
码分多址
H1中有一个Walsh函数0,称为一阶Walsh函数。H4中有四个互相正交的Walsh函数。它们分别是:0000,0101,0011,0110。称为四阶Walsh函数。在IS-95中使用的是64阶Walsh函数,总共有64个互相正交的Walsh函数W0~W63。
(3)上行链路结构
上行链路信道结构如图8所示。上行链路包括专用业务信道和公共接入信道。
码分多址
同下行信道相似,业务信道必须支持速率集合1,也可支持速率集合2。
在上行链路上传输的数据首先编组放进20ms的帧中,进行约束长度为K=9、效率为R=1/3(速率集合1)或R=1/2(速率集合2)的卷积编码。再进行与下行时相同的重复和块交织。卷积、重复和交织后的速率为28.8kbit/s。然后是64阶正交调制。编码符号中每6个符号编为一组(码组率为28.8/6=4.8kbit/s)。每组用于选择64个可能的Walsh函数中的一个(每个64位)。在正交调制后,传输速率是4.8kbit/s×64=307.2kbit/s。
上行信道和下行信道中Walsh函数的作用是不同的。在下行信道中,用于区分信道;在上行信道中,用于正交调制(扰码)。扰码后的信号用长伪随机码序列在1.2288Mchip/s的速率上进行扩频,由长度为242-1的伪随机M序列的不同的相位来区分不同的信道。得到扩频信号A0。与下行链路信道相同,将A0送入图21.33所示电路,用周期为215-1、速率为1.2288Mchip/s的短码进行正交扩频调制,最后进行基带滤波和载波正交调制。
移动台使用接入信道发起呼叫,对从基站来的寻呼信道消息进行响应,包括位置更新。每个接入信道与一个下行链路寻呼信道相关,因此最多可以有7个接入信道。接入信道使用固定的发射速率4.8kbit/s,每编码符号重复一次。采用与业务信道相同的卷积和块交织。然后是64阶Walsh正交调制、长码扩频(用于区分信道)。串并变换后的正交扩频使用和下行相同的M序列对。最后进行基带滤波和载波正交调制。
可见,上行链路用正交Walsh函数进行扰码,用长伪随机M序列作为区分信道的扩频码。所有上行的业务信道和接入信道都用相同的射频载波发送,而只是以不同相位的伪随机M序列码来区分不同的业务信道。
由于CDMA在技术上的优势,如频谱利用率高、容量大、覆盖广等优点,可以大量减少投资和运营成本,深为运营商所青睐。另外,CDMA手机所需的发射功率低,有绿色手机之美誉,在人们普遍担心手机电磁辐射影响人体健康的情况下,更具有吸引力。第三代蜂窝移动通信系统空中接口的主流技术也采用宽带CDMA技术。
在CDMA方式中,正交信号
码分多址
中的λi=Ci。
带宽 |
1.25MHz |
码片速率 |
1.2288Mchip/s |
上行链路带宽 |
869~894MHz 1930~1980MHz |
下行链路带宽 |
824~849MHz 1850~1910MHz |
帧长度 |
20ms |
比特率 |
速率集1:9.6kbit/s 速率集2;14.4kbit/s IS-95B:115.2kbit/s |
语音编码器 |
QCELP8kbit/s ACELP13kbit/s KVRC8kbit/s |
软切换 |
是 |
功率控制 |
上行:开环+快速闭环 下行:慢性环 |
RAKE分支数目 |
4 |
扩频码 |
沃尔什函数+长M序列 |
求购