三角形的高锐角三角形:从一个顶点向该顶点的对边做垂线;
直角三角形的直角边是直角三角形的高,直角顶点向斜边做垂线为斜边高;
钝角三角形钝角顶点向对边做垂线为该边的高,锐角向对边外延长线做垂线为该边的高。
总的来说,三角形的三条高所在的直线相交于一点。[2]
锐角三角形:三条高都在三角形的内部。交点也在三角形的内部。
直角三角形:两条高分别在两条直角边上,另一条高在三角形的内部。交点是直角的顶点。
钝角三角形:钝角的两边上的高在三角形外部。交点在三角形的外部。[3]
若AD是△ABC的高,则:
表示方法①AD⊥BC于D
②∠ADC=90°或∠ADB=90°。
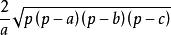
设△ABC的三个角∠A、∠B、∠C所对边分别为a、b、c,p=
,则:
a边上的高ha=
b边上的高hb=
c边上的高hc=
求购