光子

光子

中文名 光子
属性 基本粒子
别称 光量子
提出者 爱因斯坦(A.Einstein)
应用学科 实验和理论物理学、量子力学
目录导航

发展历程

光子的提出和发展—光的量子理论

1901年,德国物理学家普朗克(Plank)找到了与实验相符的在热平衡下的绝对黑体辐射谱的能量分布律。这个规律是量子理论发展的出发点。这规律的基础是假定物质发出光和吸收光具有不连续的特性,并且假定光为一个一个有限部分——光量子——发出或吸收。

这种光子的能量ε是和光的振动频率ω成正比的,并且可用下列等式表示

这里,是普朗克常数。

当爱因斯坦(Einstein)指出了除能量ε外还必须要用冲量(这冲量的方向和光的传播方向相符合)来描述光子后,光子的表示才的得到完善的形式。

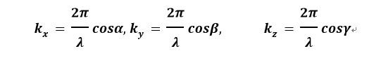
如果引入波矢量k,它的分量等于

式中λ是波长,而cosα,cosβ,cosγ是光波法线方向的余弦,于是光量子的冲量公式可以写为矢量形式

主要作用

光子是传递电磁相互作用的基本粒子,是一种规范玻色子。光子是电磁辐射的载体,而在量子场论中光子被认为是电磁相互作用的媒介子。与大多数基本粒子相比,光子的静止质量为零,这意味着其在真空中的传播速度是光速。与其他量子一样,光子具有波粒二象性:光子能够表现出经典波的折射、干涉、衍射等性质;而光子的粒子性可由光电效应证明。光子只能传递量子化的能量,是点阵粒子,是圈量子粒子的质能相态。

基本特性

量子电动力学确立后,确认光子是传递电磁相互作用的媒介粒子。带电粒子通过发射或吸收光子而相互作用,正反带电粒子对可湮没转化为光子,它们也可以在电磁场中产生。

光子从激光的相干光束中射出光子从激光的相干光束中射出光子是光线中携带能量的粒子。一个光子能量的多少正比于光波的频率大小,频率越高,能量越高。当一个光子被原子吸收时,就有一个电子获得足够的能量从而从内轨道跃迁到外轨道,具有电子跃迁的原子就从基态变成了激发态。

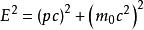
光子具有能量,也具有动量,更具有质量,按照质能方程,E=mc2=hν,求出m=hν/c2,

光子由于无法静止,所以它没有静止质量,这儿的质量是光子的相对论质量。

根据量子场论,一对正反粒子可发生湮灭变成一对高能γ光子,而一对高能γ光子在高温下亦可发生反应产生一对正反粒子。比如在T=1015K的温度下可发生光子向质子和中子等重子的转化。

用费曼图表示的正电子-负电子散射(也叫做Bha-Bha散射),波浪线表示交换虚光子的过程。

参见:狭义相对论

光子晶体结构光子晶体结构从波的角度看,光子具有两种可能的偏振态和三个正交的波矢分量,决定了它的波长和传播方向;从粒子的角度看,光子静止质量为零,电荷为零,半衰期无限长。光子是自旋为1的规范玻色子,因而轻子数、重子数和奇异数都为零。

光子的静止质量严格为零,本质上和库仑定律严格的距离平方反比关系等价,如果光子静止质量不为零,那么库仑定律也不是严格的平方反比定律。所有有关的经典理论,如麦克斯韦方程组和电磁场的拉格朗日量都依赖于光子静质量严格为零的假设。从爱因斯坦的质能关系和光量子能量公式可粗略得到光子质量的上限:m=hν/c2

这里,m即是光子质量的上限,ν是任意电磁波的频率,位于超低频段的舒曼共振已知最低频率约为7.8Hz(赫兹)。

这个值仅比如今得到的广为接受的上限值高出两个数量级。

参见光子:规范玻色子

光子能够在很多自然过程中产生,例如:在分子、原子或原子核从高能级向低能级跃迁时电荷被加速的过程中会辐射光子,粒子和反粒子湮灭时也会产生光子;在上述的时间反演过程中光子能够被吸收,即分子、原子或原子核从低能级向高能级跃迁,粒子和反粒子对的产生。

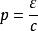
在真空中光子的速度为光速,能量E和动量p之间关系为p=E/c;相对论力学中静质量为的粒子的能量动量关系为

光子的能量和动量仅与光子的频率ν有关;或者说仅与波长λ有关。从而得到光子的动量大小为p=h/λ=hv/c。

其中h叫普朗克常数。

从光子的能量、动量公式可导出一个推论

粒子和其反粒子的湮灭过程一定产生至少两个光子。原因是在质心系下粒子和其反粒子组成的系统总动量为零,由于能量守恒定律,产生的光子的总动量也必须为零;由于单个光子总具有不为零的大小为的动量,系统只能产生两个或两个以上的光子来满足总动量为零。产生光子的频率,即它们的能量,则由能量-动量守恒定律(四维动量守恒)决定。而从能量-动量守恒可知,粒子和反粒子湮灭的逆过程,即双光子生成电子-反电子对的过程不可能在真空中自发产生。

光子具有波粒二象性

即说光子既具有一粒一粒的粒子的特性又有像声波一样的波动性。当时间为瞬时值时,光子以粒子的形式传播;当时间为平均值时,光子以波的形式传播。光子的波动性由光子的衍射而证明,光子的粒子性是由光电效应证明。

上面有人认为光子的动质量为零是错误的,光子的静质量为零,否则的话其动质量将为无穷大。但其动质量却是存在的,计算方法是这样的:首先,由于频率为v的光子的能量为E=hv,(其中h为普朗克常数),故由质能公式可得其质量为:m=E/c2=hv/c2其中c2表示光速的平方,该方法由爱因斯坦首先提出。

相关理论

光子有速度、能量、动量、质量,有凝聚。光子不可能静止。光子可以变成其它物质(如一对正负电子),但能量守恒、动量守恒。

实现操控

美国物理学家组织网,科学家一直希望用光子代替电子实现更快捷安全的光通讯,现在,科学家们成功证明,他们能更快速地(在几纳秒内)控制与目前光通讯网络中所用光波波长一样的光子的路径和偏振,新光子电路可整合进现有的光通讯网络中,从而显著改进网络的性能。研究朝实现光量子通讯迈进了一步。

英国布里斯托大学、赫瑞瓦特大学、荷兰卡弗里纳米科学研究所的科学家们将这项快速控制单光子的路径和偏振的研究发表在一期《物理评论学快报》杂志上。

他们在对一个由电路组成的量子光学设备进行研究时发现,单个光子会移动穿过这些电路,这些电路也能被重新配置从而改变光子的路径和偏振方向。然而,这种量子光学电路无法快速操纵单光子和多光子的状态。为了解决这一问题,他们使用了已被证明能在现有通讯调制器中进行快速操纵的铌酸锂波导,并证明对电极附近的波导施加光子光子电压能快速操控由波长为1550纳米的一个或两个光子组成的光的量子(包括路径和偏振)状态,该波长正是现有通讯网络中采用的波长。

领导该研究的布里斯托大学的达米恩·博诺表示:“在这个实验中,我们演示了两种电路配置,每种电路配置都会导致不同的量子状态,一次配置仅需几纳秒,而在以前的实验中,每几秒才能对电路进行一次重新配置。现在的通讯网每天都在使用由同样技术制成的开关来传递由光脉冲编码的信息字节,从原理上来讲,这样的开关也能用于单光子层面。”

博诺表示:“迄今为止,在芯片上操纵光的量子状态一直依靠加热器,其能作为慢速移相器来使用。研究表明,铌酸锂波导能采用一种与以前迥然不同的方法来更快速地操控光的量子状态。现在,我们不仅能打开和关闭光包以便按规定路线发送传统信息,也能够快速处理和操纵光的量子状态。”

科学家们指出,能在单个平台上快速控制单光子的偏振和路径对基础量子科学和量子技术来说都至关重要。博诺表示,制造这些设备的铌酸锂材料也能随机产生光子,另外,具有超导性的单光子探测器也能被整合在这样的芯片上。一个结合了能随机产生光子的光源、电路以及探测器的技术平台可用于以下几方面:通过对几个光子来源进行多路传输从而获得可靠的单光子源、长距离量子通讯需要使用的量子继电器、量子密码学中用到的量子密钥分配等。

以前有些老式收音机使用电子管,每次工作前都要预热。随着半导体管的应用,预热时间就被节省下来了。如今,光量子调制设备领域也出现了类似的进步——以前用加热器,几秒钟才能重新配置电路,现在几纳秒就可以切换到另一个电路。使用铌酸锂材料作波导设备,在调制解调器时代是很平常的技术手段。但谁能想到,平平无奇的光电转化设备稍加变化,可以帮助最前沿的光量子通信研究取得突破?现在随着光源、电路和探测器整合到一起,量子通信研究者的工作量可以减轻不少了。[1]

相关事件

华中科技大学教授重新确定光子静止质量上限

华中科技大学教授重新确定光子静止质量上限,有业内人士认为:光子静止质量为零是经典电磁理论的基本假设之一。但有些科学家则认为,光子可能有静止质量。如果实验最终检测到光子存在静止质量,那么有些经典理论将要有所变化。

在出版的美国《物理学评论快报》(Physical Review Letters) 上,有专文介绍说:“一项由中国科学家罗俊等完成的新的实验表明,在任何情况下,光子的静止质量都不会超过10的负54次方千克,这一结果是之前已知的光子质量上限的1/20。”罗俊和他的同事通过一种新颖的实验方法,在一个山洞实验室里将光子静止质量的上限,进一步提高了至少一个数量级。

据悉,如果光子存在静止质量,虽然不会影响到人们的日常生活,但其产生的后果将是根本性的———例如,光速将随波长的改变而变化,并且光波将像声波一样能够产生纵向振动。[2]

相关百科
返回顶部
产品求购 求购