陶瓷工程

陶瓷工程

目录导航

历史

陶瓷这个词(ceramic)来自希腊语单词κεραμικός (keramikos),意思是陶器。这个单词和古印欧语词根燃烧有关。在英语中,陶瓷可以用作单数名词,指陶瓷材料或者陶瓷制品,或者作为形容词使用。复数形式的陶瓷可以用来指使用陶瓷材料制作东西。和许多科学技术一样,陶瓷工程经过了很大的发展,它在以前的含义和今天的标准有很大的不同。材料科学工程和陶瓷工程现在聚合在了一起。

利奥·莫兰迪的瓷砖上釉生产线(约1945年)。利奥·莫兰迪的瓷砖上釉生产线(约1945年)。

1709年,亚伯拉罕·达比在英国的什罗普首次使用了焦炭,以增加熔炼过程的产量。现在焦炭在生产碳化物陶瓷中已经得到了广泛的应用。1759年,陶工乔赛亚·韦奇伍德在英国的特伦特河畔斯托克开办了第一家现代陶瓷工厂。1888年,奥地利化学家卡尔·拜耳为俄罗斯的纺织业开发了一种从矾土矿石中分离铝的生产技术,这种技术被称为拜尔法。现在,拜尔法仍然被用来为陶瓷工业和铝工业提纯铝。皮埃尔·居里和雅克·居里两兄弟在约1880年发现了酒石酸钾钠具有压电特性,压电性是电子陶瓷的关键特性之一。

1983年,爱德华·古德里奇·艾奇逊通过加热焦炭与粘土的混合物发明了碳化硅,或称合成碳化硅。法国化学家亨利·莫瓦桑也几乎同时在他的电弧炉中合成了碳化硅和碳化钨。1923年,卡尔·施罗特在德国使用液相烧结是莫瓦桑的碳化物粒子与钴结合(或称黏合)。使用这种与金属结合的碳化物制成刀刃可以大大延长加硬钢制成的刀具的寿命。二十世纪二十年代,瓦尔特·能斯特开发了立方氧化锆生产技术。这种材料在排气系统中用作氧气感应器。在工程中使用陶瓷的唯一限制是它的易碎性。

军用需求

2003年伊拉克战争中的士兵所拍摄的通过红外线透明的夜视镜所看到的画面。2003年伊拉克战争中的士兵所拍摄的通过红外线透明的夜视镜所看到的画面。

第二次世界大战(1939-1945)中对陶瓷的军用需求极大的促进了陶瓷工程的发展。战争产生了对高性能材料的需求,从而加速了陶瓷科学技术的发展。在二十世纪的六十年代和七十年代中,由于核技术、电子行业、通信行业以及太空技术的要求,许多新型陶瓷被开发出来了。1986年,发现了陶瓷超导体,这引起了对陶瓷超导体的在电子器件、电动机和运输设备中的应用的研究兴趣。

军队部门对高强度的坚固的材料的有越来越高的需求,这种材料可以在可见光和中红外波段传输光。这些材料可以用于需要透明装甲的场合。透明装甲一种材料或者一系列的材料,它们是透明的并且可以提供对弹片的防护。对透明装甲的主要需求不仅仅是用来打败有威胁的敌人,同时也可以提供一种最少干扰周围区域的多打击能力。透明装甲的视窗必须与夜视装备兼容。人们正在寻找新的更薄、更轻,可以提供更强的防护能力的材料。这种固体的部件在许多不同场合都有着广泛应用,如在光电方面可以用于传输光波的光纤、光开关、光放大器和透镜,制造固体激光器主机和气体激光器的透明窗的材料,以及用于导弹制导系统和红外夜视系统的红外线热搜索设备

教育历史

捷克共和国

第二陶瓷技术学校于1872年在哲诺伊摩成立。1922年,这所学校搬迁到卡罗维发利州。

贝希涅陶瓷技术学校于1884年成立。

日本

日本陶瓷学会于1891年在东京成立。

德国

德国陶瓷学会于1919年在柏林成立。

公立陶瓷技术学院于1908年在塞尔普成立。1973年,这个学校转移至纽伦堡理工学院,和一所陶瓷职业培训机构合并,同时也合并了一所提供陶瓷交易、测试和实验室课程的学校。

波兰

本茨劳陶瓷技术学院存在于1887年到1945年。

西班牙

公立陶瓷学校于1911年在马德里成立。

马尼塞斯陶瓷学校于1914年成立。

美国

美国的第一个陶瓷工程系由俄亥俄州立大学地质和矿业工程的教授小爱德华·奥顿在1894年建立。

美国陶瓷学会于1898年在匹兹堡召开的全国砖制造商协会上由奥顿和其他八个专业人士成立,奥顿是第一任陶瓷学会秘书长,他在俄亥俄州立大学的办公室被用作学会早期的总部。

查尔斯·宾斯在1900年建立了纽约州立粘土与陶瓷学校,现在名为阿尔弗雷德大学。

现代工业

现在陶瓷工程已经是每年已经有数十亿美圆的产值的行业了。陶瓷工程和研究已经是科学中的一个重要领域。研究者不断的开发新的材料,以满足不同的需求,因此陶瓷材料的应用场合越来越广。

二氧化锆陶瓷可以用来制造刀具。陶瓷刀具的刀刃比钢制刀具的刀刃寿命更长,尽管它有些脆,在落到坚硬表面时容易折断。

矾土、碳化硼和碳化硅等陶瓷可以用于防弹背心,以抵当大口径步枪的射击。这种陶瓷板通常被称为轻武器护层。由于它们一般比较轻,类似的材料可以用来保护一些军用飞机的驾驶员座舱。

氮化硅零件被用于陶瓷球轴承。这种材料的高硬度意味着轴承更加不易磨损,可以提供超过普通材料三倍的寿命。这种材料制成的轴承在负载下的形变也比较小,这意味着能接触轴承支架边缘的面积也比较小,这样,它们滚动的速度就可以更快。在高速运动的场合里,滚动摩擦产生的热量可能会对金属轴承产生问题,但是这些问题可能通过使用陶瓷轴承得到缓解。陶瓷轴承通常拥有更加稳定的化学性质,因此可以用于潮湿的场合。在这种场合使用钢铁轴承会使他们生锈。在很多场合里,它们的电气绝缘的特点经常也对轴承很重要。陶瓷的主要缺点是它们高昂的成本。

二十世纪八十年代早期,丰田对一种绝热的陶瓷发动机进行了研究。这种发动机可以在超过3300 °C的温度下工作。陶瓷发动机不需要冷却系统,因此可以减轻很大一部分重量,从而提高了燃料使用效率。而且根据卡诺热机定理,燃料效率也会随着温度的升高而升高。在传统的金属发动机中,大多数燃料燃烧释放的能量都作为废弃排放到空气中了,以防止金属零件被熔化。尽管拥有这些可取的特点,这种发动机仍然没有投入生产,这是因为制造符合精度要求和持久性要求的陶瓷零件非常困难。陶瓷中不完美的结构会导致破裂,并且可能会引发危险的设备失效。这种发动机在实验室环境里是可能的,但是大规模的生产在目前的技术条件下还不可行。

扫描电子显微镜下放大10000倍以后的骨骼矿物质结晶。扫描电子显微镜下放大10000倍以后的骨骼矿物质结晶。

使用陶瓷制造涡轮发动机的零件的开发工作即将结束,目前,即使在发动机热区使用超级合金制成的叶片也需要冷却系统,同时限制工作的温度。使用陶瓷制造的涡轮机的工作效率将会更高,使得飞机用同样多的燃料能够飞得更远,载更多的重量。

最近,生物陶瓷的研究取得很大的进展,如牙齿植入物和合成骨骼。羟基磷灰石是一种天然的骨骼矿物成分,这种物质可以通过一些生物和化学原料合成,而且可以制成陶瓷材料。使用这些材料制成的骨科植入物可以更好地与骨骼和身体里的其他组织结合,而不会产生排异反应和炎症。由于这个原因,基因传递和组织工程领域对这种材料很感兴趣。大多数的羟基磷灰石陶瓷都是多孔的,缺少足够的机械强度,因此经常被用于作为金属涂层,以使其与骨骼结合的更紧密,或者作为骨骼的填充物。他们也可以用作骨科的塑料螺丝的填充物,以减轻炎症,同时使塑料的骨科材料更容易吸收。目前的工作是通过生产致密的纳米级结晶羟基磷灰石陶瓷材料使它们更加结实,达到能够应用于骨科的需要承受重量的设备的标准,这样就可以使用虽然是合成的但是天然存在于骨骼中的矿物质来替代外来的金属和塑料骨科制品了。对这些陶瓷进行研究的终极目标是让他们可以替代骨骼,或者让它们结合胶原蛋白来合成骨骼。

手表制造业也使用高科技陶瓷来制造手表的外壳,这是由于这些材料重量更轻,耐划,寿命更长,摸起来也更光滑。万国表是制表业中最开始使用陶瓷的品牌,他们在2007年的双计时飞行员手表Top Gun款中使用了高科技黑色陶瓷手工制造。

玻璃陶瓷

一种几乎没有热膨胀的高强度玻璃陶瓷炉具。一种几乎没有热膨胀的高强度玻璃陶瓷炉具。

玻璃陶瓷通常指一种锂和硅铝酸盐的混合物,包括一系列拥有引人注意的热力学特性的材料。最具有商业意义的一种特性是他们能够阻隔热冲击。这使得玻璃陶瓷在制造烹调台面上有大量的用途。某些晶相具有负的热膨胀系数,这种晶相可以于拥有正的热膨胀系数的玻璃相混合,使他们的膨胀系数互相抵消。大约这种晶相占70%的时候,玻璃陶瓷会拥有接近于0的热膨胀系数。这种玻璃陶瓷有很好的力学特性,可以反复快速加热至1000°C而不会受损伤。

玻璃陶瓷材料有许多玻璃与陶瓷的共同特征。玻璃陶瓷具有一种无定形相和一种或多种晶体相。这种材料通过一种被称为受控结晶的技术生产,而这种技术通常是在玻璃制作中需要避免的。玻璃陶瓷通常包含有一种均匀分布的晶体相,占其体积的30%到90%,这样就产生了一种引人注意的热力学特性。

在生产玻璃陶瓷的过程中,熔融的玻璃在重新加热和退火前需要缓慢的冷却。在这个热处理过程中,玻璃会发生部分的结晶。在大多数情况下,需要向其中添加一种被称为“成核剂”的物质以控制结晶的过程。由于通常没有施加压力和烧结的过程,玻璃陶瓷中一般不会出现烧结陶瓷中常有的多孔现象。

生产步骤

陶瓷生产步骤按照如下顺序:粉碎→配料→混合→成型→干燥→火烧→装配。

粉碎是指将材料从较大的体积转变为较小体积的过程。粉碎过程需要将黏合材料打碎,每一个单独的材料块仍然有自己的外形,或者需要将材料弄成粉末。粉碎通常通过机械手段实现,包括摩擦(材料块与块之间碰撞,使得大块被打碎,颗粒被削减,压缩(施加压力增大摩擦),还有冲击(需要引入研磨介质,或者材料颗粒自身会造成粉碎)。摩擦粉碎设备包括洗涤器,在水中有叶片,可以产生漩涡,材料在其中发生碰撞而被打碎。压缩粉碎设备包括颚式碾碎机,滚动碾碎机和锥形碾碎机。冲击粉碎设备包括球磨,其中有一种介质不停地翻动,砸碎材料。轴撞击导致材料颗粒与颗粒间的摩擦和压缩。

配料是根据配方对各种原材料称重的过程,将原材料准备好用于混合和干燥。

混合在配料过程之后进行,通常使用不同的机器来实现。在混合搅拌的过程中通常需要加入水。

成型是指将混合好的材料制成各种形状。成型过程可能包括:1)挤出,如制造砖的过程;2)压制成型;3)注浆成型,如在制造马桶、洗脸盆和陶瓷雕像灯装饰品的时候。成型过程将会生产出一个用于干燥的零件坯。零件坯比较软,长时间放置会破坏它的形状。处理待加工零件可能会改变它们的外形,如,没有被烧制的砖可以被挤压,而挤压以后就保持了那个形状。

干燥是将已成型材料中的水分或其他结合剂去除的过程。喷雾干燥现在被广泛的用于准备冲压的粉末。其他的干燥机如管道干燥机、周期干燥机。在需要加热的两个阶段中,都需要对其施加受控的热量。首先,热量将水分移除。这一步许要小心的控制,如果快速加热,会产生裂纹和表面瑕疵。干燥后的零件将比零件坯更小,更容易碎,一点点很小的力量都可能造成零件破碎,因此必须需要更小心的处理。

火烧是将干燥的零件进行受控加热的过程,这时原材料中的氧化物会发生化学变化,并引起烧结。通过火烧的零件将会比干燥的零件更小。

成型方法

陶瓷成型技术包括抛掷、注浆、流延、注射成型、干压、等静压、热等静压以及其他方法。在许多领域的技术中都需要某种方法以将陶瓷粉末制造成复杂的形状。例如,生产先进的高温结构的零件如热机零件、涡轮机零件就需要这些方法。用于成型过程的材料除了陶瓷以外可能还包括:木头、金属、水、石膏以及环氧物,但是这些物质的大多数都将在火烧过程中被烧掉。

由于这些成型的技术可以提供具有维度稳定性、高表面质量、高密度和微结构一致性的工具和零件,这些技术很有名。而需要采用特殊方法成型的各种专门形状陶瓷的广泛应用又使得处理技术越来越多。

增强纤维主要使用聚合物、溶胶凝胶、或者CVD 方法制造,但是也可能使用熔融的方法。最广泛使用的的形态是层状结构,例如流延法制造电子器件衬底和封装就是很好的方法。光刻法在精确制造半导体和其他如封装的部件成型方面也有越来越广的应用。流延法等成型技术在其它应用中也日渐引人注目,如像燃料单元这种开放的结构等等。层状结构的另一个重要应用是加膜,这里很重要的技术是熔融喷雾,但是也物理蒸汽沉淀和化学方法的应用也越来越广泛。除了开放的结构,如蜂巢催化、包括各种泡沫材料的多孔结构(如网状泡沫)都有日渐广泛的应用。

目前这种使用粉末材料制成的物体的致密性都是通过无压力烧结实现的。但是,使用通过热压进行压力烧结的方法的情况越来越多,特别是在使用非氧化物和制造形状简单但是质量要求高的零件时,还有制造大型零件或者每次制造多个零件时,使用压力烧结更为先进。

烧结过程

基于烧结的方式的基本原理很简单。火烧的温度低于陶瓷的熔点。一旦制成了一个干燥的坯,它将在窑中烘烤。在这里原子和分子的扩散过程将使主要的微结构特征发生重大改变。这些改变包括多孔性的逐渐消除,这通常是由于材料发生了收缩,整体变得更加致密。这样,物体中的细孔可能发生封闭,导致材料的密度变大,从而极大的提高了材料的强度和抗磨损性。

高温烧结过程的另一个主要变化是建立了固体中的多晶结构。这个改变会带来一些非常小的晶粒分布,这对材料最终的物理性质有很重要的影响。晶粒大小和最初的材料颗粒大小有关,也和在处理过程中开始几个阶段的碎石或材料颗粒的大小有关。

产品的最终的微结构和物理属性受到结构模板的形式或者在化学合成和物理成型的开始阶段所创造的产物母体有关。因此,化学粉末和聚合物处理对合成工业陶瓷、玻璃以及玻璃陶瓷都有很重要的作用。

在烧结过程中有些很多办法可以改进产品质量。一些最普通的做法是对产品毛坯施加压力,使其在一开始就非常致密,于是减少了烧结所需要的时间。有时可以添加有机结合剂如聚乙烯醇以使产品毛坯结合得更紧密,而这些有机结合剂在温度达到200–350 °C就会燃烧干净。有时在施加压力的时候可以添加一些有机润滑剂。一般这些方法都可以组合起来,比如将结合剂和润滑剂都加入粉末中,然后对毛坯施压。化学添加剂的成型本身是另一个问题了。这在制造高性能的陶瓷时有着非常重要的作用。这些重要的陶瓷被广泛应用于电子器件、电容器、电感器、传感器等等。

在需要使用粉末地方可以使用浆料,然后用浆料灌制成需要的形状,然后将它进行干燥并烧结。实际上,传统的陶器就是使用了具有可塑性的混合物手工制作,与这种方法类似。如果不同材料的混合物一起应用在一种陶瓷里,烧结温度有时可能会超过其中某一种较少成分的熔点,这被称为液相烧结。液相烧结所需要的时间要比固相烧结更短。

陶瓷材料的强度

一种材料的强度与其微结构相关。工程中对材料的处理是为了改变其微结构。有许多种不同的机制可以改变材料的强度,其中包括晶界强化这样的技术。尽管材料的屈服强度随着晶粒的尺寸减小而得到最大化,非常小的晶粒会导致材料变脆易碎。考虑到屈服强度是可以用来预测材料塑性变形的参数,我们可以根据材料微结构性质和理想的最终效果对怎样增加材料的强度做出明智的决策。

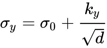
屈服应力和晶粒大小之间的关系可以使用霍尔佩奇方程来进行数学描述:

其中ky 是强化系数,根据材料的不同而有所不同。σo是描述材料运动开始的位错应力,或者是晶格位错运动的阻力,d是晶粒的直径,σy是屈服应力。

理论上,如果晶粒可以做得无限小,那么材料就可以变得无限坚硬。然而,由于晶粒尺寸的下界是材料晶胞的大小,材料的强度无法无限坚硬。即使这样,如果材料的晶粒是单独的一个材料晶胞,那么这个材料由于没有大范围有序性,它实际上是无定形的,并不是晶体,而位错是无法在无定形材料中定义的。在实验中,已经观察到材料的屈服强度最高时的晶粒大小大约是10纳米,更小的晶粒会产生另一种称为晶界滑移的屈服机制。在实际的工业生产中生产这种理想的晶粒大小的材料相当困难,这是由于初始颗粒的尺寸受到纳米材料和纳米技术的限制。

化学处理的理论

微结构的均匀性

在加工精细的陶瓷时,通常的材料不规则的颗粒大小和形状会导致不均匀的堆积形态,从而导致粉末的堆积密度的变化。由于范德华力导致粉末会发生无法控制的结块,这也会增加微结构的不一致性。。

由于在干燥的收缩过程中,微结构的不均匀性会产生差应力,这个应力的大小与溶剂消失的速度直接相关,因此它也和多孔性的分布高度相关。这种应力一直伴随着凝固体的塑性脆性的转换过程,如果应力无法释放,会导致未烧结的物体出现裂纹扩展现象。另外,在准备入窑的物体中任何堆积密度的不均匀都会在烧结过程中放大,导致不一致的致密化过程。

伴随着密度变化的空洞和其他结构缺陷在烧结过程中起了有害的作用。这些缺陷在烧结过程中会发生增长,从而限制了烧结结束时的密度。由于不一致的致密化过程而产生的差应力已经证明会导致内部裂缝的扩展,从而变成强度控制得缺陷。

因此,最理想的情况是在材料加工过程中通过某种方式,使其成分和空洞的分布均匀,而不仅仅是使用能够最大化毛坯密度的颗粒分布。为了使悬浮液中强烈相互作用的颗粒能够形成均匀分散的集合,需要对颗粒之间的相互作用进行整体的控制。单分散胶体提供了这种可能性。例如,二氧化硅胶体中的单分散粉末可能会通过足够的稳定来保证胶体晶体或者由于聚集产生的多晶胶体的高度有序性。有序度会受到建立大范围相关性所需要的时间和空间的限制。

有缺陷的多晶交替结构是亚微米胶体材料科学的基本元素,因此提供了对无机系统如多晶陶瓷的微结构演化机制更严格的理解的第一步。

自组装

超分子组装的例子。超分子组装的例子。

自组装是现代科学界中的一个常用术语,它用来描述颗粒的无需任何外力的自发聚集,这里的颗粒指原子、分子、胶体、胶束等等。人们知道,这种颗粒形成的大型集团会将他们组装成热动力学稳定、结构良好的阵列,比如在冶金学和矿物学中发现的七个晶体系统之一(如面心立方、体心立方等等)。在每个特定例子中,平衡结构的根本不同之处是晶胞(或晶格参数)的空间尺度。

自组装也是化学合成和纳米技术中的一种新方法。分子自组装在很多生物系统中都可以观察到,很多复杂的生物结构都是通过这种方法形成的。分子晶体、液晶、胶体、胶束、乳胶,相分离聚合物、薄膜以及自组装单层都是通过这种方法能够获得的高度有序的结构的例子。这些方法的特点是不需要外力就会发生自组织。

另外,生物陶瓷、聚合物复合材料、弹性体和细胞材料的主要力学特性和结构都在以仿生材料和结构为重点进行重新评估,而传统的方法主要关心使用传统合成材料来设计生物材料的方法。这包括一种新型的根据在自然界中发现得微结构特征和设计生物材料的方法,这种生物材料在力学方面的性能更好。新的方法是通过使用具有自然生物系统特征的加工方法来合成生物材料。这包括在纳米尺度上各种成分的自组装和产生分层结构。

陶瓷复合材料

保时捷卡雷拉GT的碳化硅陶瓷制成的刹车盘。保时捷卡雷拉GT的碳化硅陶瓷制成的刹车盘

近年来人们开始对制造陶瓷成分的复合材料有巨大的兴趣。虽然目前对含有一种或多种非陶瓷成分的复合材料还有一定的兴趣,但是所有成分都是陶瓷的复合材料引起了人们最大的注意力。这些材料通常包含两种陶瓷成分,一个连续的基体,和分散地陶瓷颗粒,或者是剪断的或连续的陶瓷纤维。和前面介绍的化学处理方法类似,这里的挑战是如何将陶瓷颗粒或纤维在基体中尽量均匀的分布。

首先考虑加工颗粒状复合材料的问题。最是感兴趣的是四方氧化锆的微粒相,因为它在从亚稳的四方晶相转变为单斜晶相的相变过程中,韧性可以增加,这种现象又称为相变增韧。人们对将坚硬的非氧化物相的物质如碳化硅、硼化钛、碳化钛、硼、碳以及氧化物基体如矾土和莫来石等等也有浓厚的兴趣。此外,也有人对将其他陶瓷颗粒,特别是那些有各向异性热膨胀特点的材料有兴趣,比如氧化铝(Al2O3)、二氧化钛(TiO2)、石墨和氮化硼。

碳化硅单晶。碳化硅单晶。

碳化钨钻头。碳化钨钻头。

在加工颗粒复合材料的时候,需要考虑的问题不仅仅是分散物和基体的尺寸与空间分布的均匀性,也需要对基体晶粒的大小进行控制。然而,现在有些内建的自控制方法,可以通过分散相来抑制基体晶粒生长。颗粒复合材料尽管抵抗损伤和故障的能力更强,它们仍然对成分的不均匀性非常敏感,同时加工时还会产生空洞等瑕疵。因此,为了使它们有效,需要对它们仔细的加工。颗粒复合物一般在简单的混合两种成分的粉末这一商用基础上制造。尽管这种方法自身限制了所能达到的一致性,它可以很容易的通过调整当前的陶瓷生产技术来实现。其他方法也在研究之中。


从技术的角度来说,一种制造颗粒复合材料特别理想的方法是在基体或者是基体前身外面覆盖分散物的细小颗粒,同时对分散颗粒的初始大小大小和基体表面涂层的厚度进行精确的控制。原则上可以通过这种方法达到最终的均匀分布以及可以对复合材料的性能进行优化。这种方法也由其他的分支,如在某些条件下可以使多孔物体拥有更有用的复合材料性能,这样可以对热传导性进行限制。

也有可能使用熔融加工的方法来制造陶瓷、颗粒、晶须、短纤维和连续纤维复合材料。很明显,颗粒符合材料和晶须复合材料可以通过熔融凝固后的固体沉淀来得到。它们在某些情况下也可以通过烧结来制造,比如沉淀增韧后部分稳定的氧化锆。类似的,人们已经知道可以通过定向凝固共晶混合物陶瓷从而得到单轴对齐的纤维复合材料。这种复合材料只能有非常简单的形状,而加工的成本又很高,因此导致了严重的经济问题。

当然,这些方法中大多数都可能用到熔融浇铸的方法。可能更理想的方法是使用熔融衍生的颗粒。这种方法需要对固溶体或细晶结构进行淬火。在这个过程中,颗粒会使用更常用的陶瓷粉末加工方法制成有用的物体。也有尝试通过在熔融喷雾过程中引入分散颗粒、晶须或纤维的方式来制造复合物,

尽管在材料加工方面有很多进展,纤维复合材料的最重要的需求是降低纤维成本。第二个重要需求是减少纤维复合材料、涂层或者复合材料加工中在氧化环境中高温加热所带来的品质退化问题。

应用

使用氮化硅制成的推进器。左图:安装于测试托架的推进器;右图:使用氢气/氧气作为推进剂进行测试。使用氮化硅制成的推进器。左图:安装于测试托架的推进器;右图:使用氢气/氧气作为推进剂进行测试。

采用了先进技术的陶瓷产品包括航天飞机计划中使用的隔热瓦、燃气燃烧器喷嘴、防弹衣、二氧化铀核燃料、植入物、喷气发动机涡轮叶片以及导弹鼻锥。这些陶瓷产品的原材料不仅仅是粘土,而是根据它们需要的物理性质特殊挑选的。这些物质可以分类如下:

氧化物:二氧化硅、矾土、氧化锆

非氧化物:碳化物、硼化物、氮化物、硅化物

复合材料:颗粒或晶须增强机体,包括氧化物和非氧化物(如聚合物)

陶瓷在很多技术工业中都有应用。例如,在美国航空航天局的航天飞机上使用了陶瓷隔热瓦,它可以保护航天飞机以及未来的超音速空天飞机免受重入地球大气层时与空气摩擦产生的高热的伤害。陶瓷材料在电子业和光学中也有广泛应用。除了这里列举的应用,陶瓷也被用于作为许多工程案例中的涂层。例如,在飞机的钛架上就会有一层陶瓷涂层。最近对陶瓷技术的研究除了对传统的多晶材料进行研究以外,还包括对单晶体和玻璃光纤的研究,而这些材料的应用互有重叠,进展也非常快。

航空航天技术

发动机:飞机发动机在工作中非常热,使用陶瓷材料隔绝热量避免损坏其他零件。

机身:使用高强度、高温的轻型轴承和结构部件。

导弹鼻锥:保护火箭内部不受外部高热影响。

航天飞机:隔热瓦

太空垃圾护盾:和同等重量的铝护盾相比,陶瓷纤维织成的护盾可以提供对超高速物体(7千米/秒)更好的防护。

火箭喷嘴:可以承受火箭助推器排气的高温,还可以将排气聚焦。

生物医学

钛制髋关节假体,头部由陶瓷制成,髋臼杯由聚乙烯制成。钛制髋关节假体,头部由陶瓷制成,髋臼杯由聚乙烯制成。

人工骨骼,牙科应用的假牙;

生物可降解夹板;用于治疗骨质疏松症的强化骨骼;

植入物材料

电子行业

电容器

集成电路封装

换能器

绝缘体

光学行业

光纤;光波导传输

光交换机

激光放大器

透镜

红外热追踪设备

汽车行业

防热盾

余热管理

陶瓷发动机

生物材料

左图示意的是DNA结构,它将要自组装成为右图中原子力显微镜展示的结构照片。左图示意的是DNA结构,它将要自组装成为右图中原子力显微镜展示的结构照片。

硅化在生物世界中是非常普遍的,在细菌、单细胞生物、植物以及动物中都可以观察到这个现象。通过这个方式形成的晶体矿物质一般都有出色的物理性质,如强度、硬度、韧性等等。这种物质往往形成层次结构,在很大的长度上或空间尺寸内展示出其微结构的有序性。这些矿物通常在硅不饱和的环境里结晶,环境的酸碱度为中性,温度也比较低(0-40°C)。这种矿物可能在生物的细胞壁以内或以外形成,而使矿物沉淀的特殊的生物化学反应包括了脂类,蛋白质和碳水化合物。这种细胞机械非常的重要,目前已经有人进行细胞生物学方面的实验技术研究,用以模拟这种生物环境,而且已经取得了重要的进展。

大多数自然的材料都是复杂的复合材料,尽管组装这些材料的成分性能都比较弱,但是组装所得的复合材料的力学性能通常非常好。这些复杂的结构可能是经过上亿年的进化才得到,它们可以激发人们对设计新型材料的灵感。这些新型的材料将会有非常优秀的物理性质,在不利的环境里也有很高的性能。他们的特征包括层次性、多功能性,还有自愈能力,人们正在研究这些特征以期制造更好的材料。

构建这些复合材料的原材料基本上开始于20种氨基酸,随后被加工成为多肽、多糖、多肽糖。这些物质组成了基本的蛋白质,是大多数生物矿物软组织的主要成分。尽管蛋白质的种类超过1000种,现在的研究主要集中于胶原蛋白,甲壳素,角蛋白和弹性蛋白。这些物质通常会被晶体矿物增加强度,而这些晶体所生长的生物环境决定了每个晶体的大小、形状和分布。生成晶体最重要的矿物被认为是羟基磷灰石,硅和文石。复合材料的几个主要分类如生物陶瓷、聚合复合材料、弹性体和细胞物质的主要力学特征和结构都已经发表。每一类别都有特定的系统被人们重点研究,以探索其微结构和力学性质的关系。

鹦鹉螺贝壳内部的珍珠层虹彩。鹦鹉螺贝壳内部的珍珠层虹彩。

自然界中无机材料的结晶可以在通常的温度和压力下完成。然而更重要的一点是生物可以不停的使用这些矿物质生产这些极其精确和复杂的结构。对活的生物体控制晶体矿物如二氧化硅的生长的研究可以帮助我们发展材料科学领域,同时为纳米复合材料的合成技术打开一扇门。

高分辨率的扫描电子显微镜显示了鲍鱼贝壳珍珠层部分的微结构。这些贝壳在所有已知的非金属物质中有最高的机械强度和断裂韧性。鲍鱼贝壳的珍珠层在材料科学中是最常研究的生物结构。在这些图片里可以很明显的看到整齐堆叠的矿物层被有机薄片分隔开来,还有周期性更大的生长带,这个结构被科学家们称为层次化复合材料结构。生物材料领域未来的发展是通过使用生物系统特征性的加工方法和策略来合成这些从生物中获得灵感的材料,如纳米尺度的各种成分的自装配和对层次化结构的进一步研究。

相关百科
返回顶部
产品求购 求购