参数方程

参数方程

中文名 参数方程
例子 曲线ρ=f(t)、θ=g(t)
坐标 (半径,角度)
应用学科 数学
目录导航

基本简介

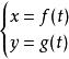
一般地,在平面直角坐标系中,如果曲线上任意一点的坐标x、y都是某个变数t的函数:[1]

并且对于t的每一个允许的取值,由方程组确定的点(x, y)都在这条曲线上,那么这个方程就叫做曲线的参数方程,联系变数x、y的变数t叫做参变数,简称参数。相对而言,直接给出点坐标间关系的方程叫普通方程。

应用举例

例子

曲线的极坐标参数方程ρ=f(t),θ=g(t)。

圆的参数方程 x=a+r cosθ y=b+r sinθ(θ∈ [0,2π) ) (a,b) 为圆心坐标,r 为圆半径,θ 为参数,(x,y) 为经过点的坐标

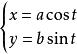
椭圆椭圆椭圆的参数方程 x=a cosθ  y=b sinθ(θ∈[0,2π)) a为长半轴长 b为短半轴长 θ为参数[2]

双曲线的参数方程 x=a secθ (正割) y=b tanθ a为实半轴长 b为虚半轴长 θ为参数

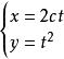
抛物线的参数方程 x=2pt^2 y=2pt p表示焦点到准线的距离 t为参数

直线的参数方程 x=x'+tcosa y=y'+tsina,x',y'和a表示直线经过(x',y'),且倾斜角为a,t为参数

或者x=x'+ut,  y=y'+vt (t∈R)x',y'直线经过定点(x',y'),u,v表示直线的方向向量d=(u,v)

圆的渐开线x=r(cosφ+φsinφ) y=r(sinφ-φcosφ)(φ∈[0,2π)) r为基圆的半径 φ为参数

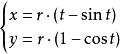
圆的渐开线圆的渐开线平摆线参数方程 x=r(θ-sinθ) y=r(1-cosθ)r为圆的半径,θ是圆的半径所经过的角度(滚动角),当θ由0变到2π时,动点就画出了摆线的一支,称为一拱。

平摆线平摆线

应用

参数方程参数方程(3)在柯西中值定理的证明中,也运用到了参数方程。

柯西中值定理

如果函数f(x)及F(x)满足:

⑴在闭区间[a,b]上连续;

⑵在开区间(a,b)内可导;

⑶对任一x∈(a,b),F'(x)≠0。

那么在(a,b)内至少有一点ζ,使等式

[f(b)-f(a)]/[F(b)-F(a)]=f'(ζ)/F'(ζ)成立。

柯西简洁而严格地证明了微积分学基本定理即牛顿-莱布尼茨公式。他利用定积分严格证明了带余项的泰勒公式,还用微分与积分中值定理表示曲边梯形的面积,推导了平面曲线之间图形的面积、曲面面积和立体体积的公式。

参数曲线亦可以是多于一个参数的函数。例如参数表面是两个参数(s,t)或(u,v)的函数。

譬如一个圆柱:

r(u,v)=[x(u,v),y(u,v),z(u,v)]=[acos(u),asin(u),v]

参数是参变数的简称。它是研究运动等一类问题中产生的。质点运动时,它的位置必然与时间有关系,也就是说,质的坐标x,y与时间t之间有函数关系x=f(t),y=g(t),这两个函数式中的变量t,相对于表示质点的几何位置的变量x,y来说,就是一个“参与的变量”。这类实际问题中的参变量,被抽象到数学中,就成了参数。我们所学的参数方程中的参数,其任务在于沟通变量x,y及一些常量之间的联系,为研究曲线的形状和性质提供方便。

用参数方程描述运动规律时,常常比用普通方程更为直接简便。对于解决求最大射程、最大高度、飞行时间或轨迹等一系列问题都比较理想。有些重要但较复杂的曲线(例如圆的渐开线),建立它们的普通方程比较困难,甚至不可能,列出的方程既复杂又不易理解。

根据方程画出曲线十分费时;而利用参数方程把两个变量x,y间接地联系起来,常常比较容易,方程简单明确,且画图也不太困难。

常见方程

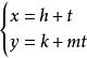
过(h, k),斜率为m的直线:

圆:

椭圆:

双曲线:

抛物线:

螺线:

摆线:

注:上文中的a, b, c, h, k, l, m, p, r为已知数,t都为参数, x, y为变量

相关百科
返回顶部
产品求购 求购