双曲线准线

双曲线准线

中文名 双曲线的准线
所属学科 数学
适用领域 高考数学
目录导航

基础定义

双曲线上各点到焦点的距离比上到准线的距离为离心率e

应用举例

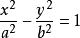
双曲线有两条准线L1(左准线),L2(右准线),准线与双曲线的位置关系如右图所示。

以原点为中心的双曲线的准线的方程就是:x=±a²/c;

其中a是实半轴长,b是虚半轴长,c是半焦距。(

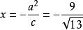
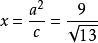
例如,存在以原点为中心的双曲线按照以上计算公式,则其准线方程为:

L1的方程:;L2的方程:

公式

双曲线上任意一点P与双曲线焦点的连线段,叫做双曲线的焦半径。

设双曲线的焦点在x轴上。

设F1,F2为双曲线的左右焦点,x为P的横坐标,则

P在左支上时:PF1=-(a+ex)PF2=-(ex-a)。

P在右支上时:PF1=a+ex,PF2=ex-a.

相关百科
返回顶部
产品求购 求购