集中量数

集中量数

中文名 集中量数
种类 中数、众数、加权平均数等
符号 M
目录导航

算数平均数

算术平均数是全部数据的算术平均,又称均值,符号为M(Mean)。算术平均数是集中趋势作主要的测度值,在统计学中具有重要地位, 是进行统计分析和统计推断的基础。它主要适用于数值型数据,但不适用品质数据。根据表现形式的不同,算术平均数有不同的计算形式和计算公式。其中,算术平均数是加权平均数的一种特殊形式(它特殊在各项全相等),在实际问题中,当各项权不相等时,计算平均数时就要采用加权平均数,当各项权相等时,计算平均数就要采用算数平均数。两者不可混淆。

简单算术平均数

简单算术平均数主要用于未分组的原始数据。设一组数据为X1,X2,...,Xn,简单的算术平均数的计算公式为:

M=(X1+X2+...+Xn)/n

例如,某销售小组有5名销售员,元旦一天的销售额分别为520元、600元、480元、750元和500元,求该日平均销售额。

平均销售额=(520+600+480+750+500)/5=570(元)

计算结果表明,元旦一天5名销售员的平均营业额为570元。

拓展:一组数据X1,x2...Xn在数a上下波动,则,原数据分别减掉a,得到一组新数据

X1'=X1-a X2'=X2-a .......Xn'=Xn-a

所以X1=X1'+a X2=X2'+a........Xn=Xn'+a

所以:平均数=(X1+X2+....+Xn)/n

将上面的 X1'=X1-a X2'=X2-a .......Xn'=Xn-a 代入

得到了:(X1'+X2'+....+Xn')/n+a

即=x'拔+a

所以:x拔=x'拔+a

优缺点

算数平均数具备了良好集中量数应具备的一些条件:

1、集中量数

2、反应灵敏

3、确定严密

4、简明易解

5、计算简单

6、适合进一步演算

7、较小受抽样变化的影响等优点。

同时也存在一定的缺点,限制了它的使用:

1、算术平均数易受极端数据的影响,这是因为平均数反应灵敏,每个数据的或大或小的变化都会影响到最终结果。

2、若出现模糊不清的数据时,无法计算平均数。

应用原则

1、同质性数据

2、平均数与个体数值相结合考虑

3、平均数于方差、标准差相结合考虑

中数

概念

中数(Median),又名中位数。 对一组数进行排序后,正中间的一个数(数字个数为奇数);或者中间两个数的平均数(数字个数为偶数)。

中数是按顺序排列在一起的一组数据中居于中间位置的数,即在这组数据中,有一半的数据比它大,有一半的数据比它小。这个数可能是数据中的某一个,也可能根本不是原有的数。

优点

1、计算简单

2、容易理解

3、不受极端值影响

缺点

1、反应不够灵敏

2、 受抽样影响较大

3、中数乘以总次数于总数不相等

4、不能进一步代数运算

应用情况

1、需要快速估算集中值时

2、有极端数据时

3、有模糊不清楚的数据时

众数

概念

众数(Mode),一组数据中出现次数最多的数值,叫众数,用M表示。

计算方法

(一)、根据单项数列求众数,不需要任何计算,可以直接从分配数列中找出出现次数或频率最大的一组标志值,就是所求的众数。

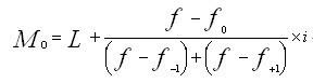
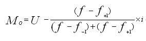
(二)、对组距数列求众数。对众数的计算有两种公式:

1、上限公式:

2、下限公式

其中:

f表示众数所在组次数;

f-1表示众数所在组前一组的次数;

f+1表示众数所在组后一组的次数;

L表示众数所在组组距的下限;

U表示众数所在组组距的上限;

i表示组距;

优点

1、简单明了

2、容易理解

缺点

1、不稳定,受分组和样本变动影响

2、反应不灵敏

3、不能进一步做代数运算

应用

1、需要快速估算一组数据集中值时。

2、数据不同质时

3、两极端有极端值时

4、快速估计分布形体时

关系

三者关系三者关系

在一个正态分布中,平均数、中数、众数三者相等,因此在数轴上三个

集中量数完全重合,在描述这种次数分布时,只需报告平均数即可。

正偏态分布中M>Md>Mo

负偏态分布中M<Md<Mo

三者关系三者关系

M即平均数,Md即中数,Mo即众数

相关百科
返回顶部
产品求购 求购