需求弹性

需求弹性

中文名 需求弹性
领域 经济学
性质 经济学术语
含义 需求价格弹性越大、需求量对于价格越敏感
计算方式 需求量的变动的百分比除以价格变动的百分比
目录导航

基本简介

需求弹性相关漫画需求弹性相关漫画一个人对某种商品的需求的惟一普遍规律就是:如果其他情况不变,他对此商品的需求会随着对其拥有量的增加而递减。这种递减也许缓慢也许迅速。如果缓慢,那么他对此商品所出的价格,就不会因为他对此商品的拥有量的大量增加而大幅度下降;而且价格的小幅度下降会使他的购买量大幅度增加。

市场需求也是如此,市场中需求弹性(或感应性)的大小,是由需求量在价格的一定程度的下跌时增加多少以及在价格的一定程度的上涨时减少的多少而决定的。

种类区分

价格弹性

需求弹性曲线需求弹性曲线需求的价格弹性(price elasticity of demand)的定义需求价格弹性简称为需求弹性或价格弹性,它表示在一定时期内一种商品的需求量变动对于该商品的价格变动的反应程度。或者说,表示在一定时期内当一种商品的价格变化百分之一时所引起的该商品的需求量变化的百分比。我们通常用价格弹性系数加以表示:需求价格弹性系数=需求量变动的百分比/价格变动的百分比设:Q表示一种商品的需求量;P表示该商品的价格;DQ表示需求量变动值;DP表示价格变动的数值;Ed表示价格弹性系数,则:Ed=(△Q/Q)/(△P/P)


需求价格弹性的分类根据需求价格弹性系数的大小可以把商品需求划分为五类:

  • 完全无弹性(perfectly inelastic)、

  • 缺乏弹性(inelastic或relatively inelastic)、

  • 单位弹性(unit elastic)、

  • 富有弹性(elastic或relatively elastic)、

  • 无限弹性(perfectly elastic)、

收入弹性

需求弹性的移动需求弹性的移动需求的收入弹性(income elasticity of demand)是需求的相对变动与收入的相对变动的比值,用来表示一种商品的需求对消费者收入变动的反映程度或敏感程度。

(1)一般公式:需求收入弹性=需求变动百分比/收入变动百分比。即Ed=(△Q/Q)/(△R/R)

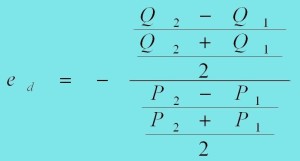
(2)需求的价格弧弹性的中点公式:Ed=-△Q/△P●((P1+P2)/2)/((Q1+Q2)/2)

如果仅仅是一般地计算需求曲线上某一段的需求的价格弧弹性,而不是具体地强调这种需求的价格弧弹性是作为涨价还是降价的结果,则为了避免不同的计算结果,一般采用中点公式。

交叉弹性

需求的交叉弹性(cross elasticity of demand)是指一种商品的需求对另一种商品价格变动的反应程度或敏感程度。对于两种商品X,Y,商品X对商品Y的交叉弹性就等于商品X需求的相对变动与商品Y价格的相对变动之比。

影响因素

需求弹性需求弹性影响需求价格弹性的因素

1、相似替代品的可获得性。有相似替代品的商品需求弹性往往很大。例如黄油和人造黄油就可以很轻易的替代。而代用品越多,当一种商品价格提高时,消费者就越容易转向其他商品,所以弹性就越大,反之则越小。

2、必需品与奢侈品。产品的性质,一般而言,生活必需的需求弹性较小,奢侈品需求弹性大。

3、市场的定义,任何一个市场的需求都取决于我们所划定的市场范围。市场小则容易找到替代品。

4、商品用途的广泛性,如果一种商品的用途很广泛,当商品的价格提高之后消费者在各种用途上可以适当地减少需求量,从而弹性越大,反之越小。

5、商品消费支出在消费者预算支出中所占的比重,当一种商品在消费者预算支出中占很小的部分时,消费者并不大注意其价格的变化,如买一包口香糖,你可能不大会注意价格的变动。

6、消费者调整需求量的时间,一般而言,消费者调整需求的时间越短,需求的价格弹性越小,相反调整时间越长,需求的价格弹性越大,如汽油价格上升,短期内不会影响其需求量,但长期人们可能寻找替代品,从而对需求量产生重大影响。

计算方式

经济学家用需求量的变动的百分比除以价格变动的百分比,来计算需求弹性。举例而言,假设冰激凌的价格上升百分之十,使得你购买冰激凌的数量减少百分之二十。则你的需求价格弹性为2.一般而言,需求价格弹性越大,意味着需求量对于价格越敏感。

需求价格弹性系数的计算,弧弹性和点弹性含义及其表示:

弧弹性

(1)弧弹性的一般公式

弧弹性弧弹性弧弹性是以某种商品需求曲线上两点之间的需求量的变动对于价格的变动的反应程度。简单地说,它表示需求曲线上两点之间的弹性。

假定消费者对某种商品的需求曲线上的两个点分别为A和B,其价格与购买量的组合分别为(P1Q1)和(P2Q2),于是DP和DQ马上可求得,但是在考虑价格和需求量变动的百分比时,是选取P1,Q1,还是P2,Q2其结果不一样。为解决这一问题经济学家采用了一个变通但却非常有效的方案,即取AB之中点作为代表,这样不管沿曲线的左上移动还是右下移动,计算的基准数值就不会变。

(2)弧弹性的中点公式(the midpoint method)

弧弹性中点公式弧弹性中点公式经常出现的一个问题是,从A点到B点的弧弹性,和从B点到A点的弧弹性的计算结果是不一样的。为了避免这一问题,学者们又提出了弧弹性的中点公式。

点弹性

点弹性衡量了在需求曲线上某一点上相对应于价格的无穷小的变动率,需求量变动率的反应程度。

点弹性点弹性这一弹性系数只与需求曲线上的点(P,Q)的斜率dQ/dP有关,故被称为点弹性,它可以精确地反应出需求曲线上每一点的弹性值。

误区一、某种商品的需求弹性是一条直线,那么任意两点之间的弹性都一样的。X弹性沿着直线型需求曲线发生变化。当沿着曲线向上、向左等量移动时,需求量的百分比变化增加,(基准数值变小),而价格的百分比变化下降(价格的基准数值变小)。因此,需求变得越来越有弹性。

相关百科
返回顶部
产品求购 求购