光谱项

中文名 光谱项
性质 粒子的一个能态
符号 T(m)、T(n)
目录导航

简介

光谱项是所有元素所发射的光谱线的波数总由两项之差决定。即,式中m、n为整数,T(m)、T(n)称为光谱项,其函数形式随不同原子而异。例如:氢原子光谱中巴尔末线系的两个光谱项分别为。原子光谱的这一普遍公式称作里兹并合原则。1900年瑞典物理学家里德伯(1854~1919年)及1908年里兹分别发现很多元素的光谱都有这种关系,并提出光谱项的概念。并合原则的发现和光谱项概念的提出使光谱研究由光谱线转向光谱项。但当时对其物理意义并不清楚。玻尔理论提出后,才赋予光谱项以明确的物理意义,即每一光谱项与原子的一定能级相对应,两光谱项之差与两定态能量之差相联系。按玻尔理论得氢原子的光谱项。光谱项的分立性阐明了光谱线的分立性。[2]

光谱项图和光谱项符号

按早期对谱线系分类的传统,已经确定了用符号表示单个电子轨道的如下方法:用一个数字和它后面的一个字母作为符号,分别表示主量子数n和角量子数l。字母岛s,p,d,f…

分别代表l==0,1,2,3…(最初它们表示碱金属光谱的锐线系,主线系,漫线系和基线系)。因此,最低的一些光谱项符号如下面左图所示。例如,3d电子是在n=3和l=2的轨道上的。

这些光谱项对应的能量值习惯上在一些n增加的系列中示出,每一个系列具有一个不变的角量子数l。最低的一些量子数决定最低的一些能量值;因此,表格的垂直顺序和下面右图所示的光谱项图是相反的。[3]

原子光谱项

原子状态由L、S、J和mJ规定,原子光谱和原子磁性质实验指出,L、S和J不同的原子状态,其能量有所差别。这正反映了原子的轨道角动量、自旋角动量和总角动量的不同,表明电子的相互作用情况的不同,其中包括电子之间的电磁相互作用的不同,因此量子数L、S、J规定了原子整体能级。

在光谱上常把具有总轨道角动量量子数L,总自旋量子数S的一组原子状态称为光谱项,并用如下符号表示:

当L=0,1,2,3…数值时,分别用S、P、D、F…标记。将2S+1的数值写在L的左上角,自然知道了2S+1,也就知道了S。在大多数情况下,S和L的数值对能级的影响较大,J值对能级影响较小,常常不考虑J值,称为光谱项。有时需要将J值写在L的右下角,定义为光谱支项。

对于给定的J,mJ所取的数值有2J+1个,故每一个光谱支项还包括2J+1个状态,当忽略自旋和轨道相互作用时,这些状态均属于同一能级,但当存在外磁场时,总角动量在Z轴方向有2J+1个不同取向,从而分裂成更细的2J+1个能级,这就是塞曼效应。

(2S+1)叫光谱的多重性,当S=0,2S+1=1称为单重态,当S=1,2S+1=3,称为三重态。例如1s叫做单重S态,3P叫做三重P态等等。

通过以上讨论看出,光谱项反映了原子量子数和原子能级之间的关系。由洪特规则可确定能级最低的谱项。用光谱项语言叙述洪特规则如下。

i)s最大者能级最低,若s相同,则L最大者能级最低。这一规律叫做洪特第一规则;

ii)若S和L都相同,则对于半充满前的组态(如P1,P2或d1,d2,d3,d4)导出的光谱支项而言,J愈小能级愈低;而对于半充满后的组态(如p3,p4,p5或d5,d6,d7,d8,d9)导出的光谱支项而言,J愈大能级愈低。这一规律叫做洪特第二规则。

例如氢原子基态(1s)1,因l=L=0,S=J=1/2,故基态对应的光谱项和光谱支项为2S,2S1/2。

氦原子的基态为(1s)2,因为l1=l2=0,因两电子必须自旋相反,使得S=0,所以对应的光谱项为1S,光谱支项为1S0(J=0)。

对于原子的一个电子组态有几个光谱项或光谱支项时,在写光谱项(或光谱支项)时,通常总是把能量高的谱项放在前面。[4]

光谱项意义

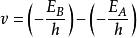
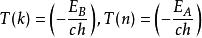
爱因斯坦光子假说认为,光能量是以光子的形式辐射的,而每个光子的能量是。根据能量守恒定律,原子辐射一个光子,其能量就减少,如果原子初状态的能量为EA,辐射一个光子后的末状态的能量为EB,则

光子的频率可以表示为

用波数表示,可写为

将前两式相比较,可得

由上市可见,表示谱线的两个光谱项,分别与原子的初状态能量和末状态能量相对应。所以,光谱项实际上是原子状态能量的反映。

于是,我们可以从光谱项的性质对原子能量状态的性质作一些推测。由上述式子可知,光谱项是一系列不连续的分立数值,因此原子状态能量也应是一系列不连续的分立数值。原子各个状态的能量,像台阶一样,形成不连续的序列,这种性质就称为原子能量状态的量子化,而每一个能量台阶,都称为原子的能级。原子只能处于由一个能级所代表的稳定状态上,这些稳定状态都称为定态。原子的每一条光谱线,都必须由两个光谱项的差来表示,而不能用一个光谱项来表示,这说明原子处于任何一个能级上都不会辐射能量,而只有当它从一个能级跃迁到另一个能级的过程中才吸收或辐射能量。[5]

相关百科
返回顶部
产品求购 求购