Jaccard系数

Jaccard系数

中文名 杰卡德系数
提出时间 20世纪初
提出者 Paul Jaccard
目录导航

系数基本概念

定义

给定两个集合A,B,Jaccard 系数定义为A与B交集的大小与A与B并集的大小的比值,定义如下:

当集合A,B都为空时,J(A,B)定义为1。

与Jaccard 系数相关的指标叫做Jaccard 距离,用于描述集合之间的不相似度。Jaccard 距离越大,样本相似度越低。公式定义如下:

其中对参差(symmetric difference)

性质

相似性

非对称二元属性的相似性

在数据挖掘领域,常常需要比较两个具有布尔值属性的对象之间的距离,Jaccard距离就是常用的一种方法。给定两个比较对象A,B。A, B 均有n个二元属性,即每个属性取值为{0,1}。定义如下4个统计量:

:A,B属性值同时为0的属性个数;

:A属性值为0且B属性值为1的属性个数;

:A属性值为1且B属性值为0的属性个数;

:A,B属性值同时为1的属性个数;

如下图数示:

显然有

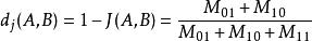
Jaccard 系数:

Jaccard距离:

广义系数

广义Jaccard系数

(1)给定两个n维向量 则 Jaccard 系数定义如下:

(2)给定两个关于 的非负函数fg,则 Jaccard 系数定义如下:

主要应用场景

比较文本相似度,用于文本查重与去重;

计算对象间距离,用于数据聚类等。

应用举例

项目相似性度量是协同过滤系统的核心。 相关研究中,基于物品协同过滤系统的相似性度量方法普遍使用余弦相似性。 然而,在许多实际应用中,评价数据稀疏度过高,物品之间通过余弦相似度计算会产生误导性结果。 将杰卡德相似性度量应用到基于物品的协同过滤系统中,并建立起相应的评价分析方法。 与传统相似性度量方法相比,杰卡德方法完善了余弦相似性只考虑用户评分而忽略了其他信息量的弊端,特别适合于应用到稀疏度过高的数据[2]

相关百科
返回顶部
产品求购 求购