一个阶梯函数就是一个分段常值函数,只是含有的阶段很多但是有限。
定义在
上的数值函数
是阶梯函数,是指对任意的
,存在
上的一个阶台函数
,使得对任意的
,有
。
于是说
被
一致地逼近,误差为
。这相当于说,所谓
是阶梯函数,是指
是一致收敛的阶台函数
的序列的(一致)极限。
如果
是阶梯函数,则
是有界的。实际上,从对任意的
成立的
,得

性质1:在
上的阶梯函数形成一矢量空间,这空间用
来表示。
这个性质是明显的。例如,从
,
,得

还要指出,
是
的子空间。
性质2:如果
是阶梯函数,则
也是阶梯函数。
只须对
做证明即可;这性质来自

结果是,对两个(或有限多个)阶梯函数
,
,函数
,
也是阶梯函数。
性质3:如果
是正阶梯函数或零,则存在一个正阶台函数或;零的序列,一致收敛到
。
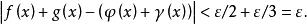
首先提出,如果对任意的
;又如果
收敛到
,则
。这是因为对一切
,
且
。
从上面性质2得到,如果
一致收敛到
,则同时有
也一致收敛到
。可是对一切数值函数有
,由此对
使用加法有

于是
一致收敛到
。特别地,如果
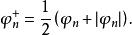
,则
且
是一致收敛到
的正阶台函数的序列。[1]
求购