本品为生物氧化过程中的电子传递体。其作用原理为在酶存在的情况下,对组织的氧化、还原有迅速的促酶作用。通常外源性细胞色素C不能进入健康细胞,但在缺氧时,细胞膜的通透性增加,细胞色素C便有可能进入细胞及线粒体内,增强细胞氧化,能提高氧的利用。
来自三羧酸循环中产生的琥珀酸辅酶A,其肽链仅有104个氨基酸,体内大量存在,一般无需外源补充;且外源补充与体内含量相比甚微。细胞色素C是生物氧化的一个非常重要的电子传递体,在线粒体嵴上与其它氧化酶排列成呼吸链,参与细胞呼吸过程。
中文名称:细胞色素C
中文别名:肌高铁血红素;细胞色素丙;细胞血素C;
英文名称:Cytochrome C
英文别名:Cytomac P;Cytochromert;myohematin;cytorest;Cytor-est;CYT-C;Cytochrome C (horse heart); Cytochrome c from horse heart; cytochrome C from pigeon breast muscle; cytochrome C from chicken heart; cytochrome C from porcine heart; cytochrome C from tuna heart; cytochrome C from bovine heart; cytochrome C from sheep heart; cytochrome C from saccharomyces*cerevisiae; cytochrome C practical grade: from*bovine heart; cytochrome C from dog heart; cytochrome C peptide map control; cytochrome C from rat heart; cytochrome C from rabbit heart; cytochrome C from bison heart; Cytochrome c, Equine Heart; Cytochrome (bovine heart); Cytochrome equine heart; Cytochrome from pigeon breast muscle; CYTOCHROME-C
CAS号:9007-43-6
EINECS 232-700-9
分子式:C42H52FeN8O6S2
结构式:
分子量:884.88700
精确质量:884.28000
PSA:286.03000
LogP:3.85300
外观与性状:棕色-红色结晶粉末
熔点:300ºC
沸点:1323.5ºC at 760 mmHg
闪点:754.2ºC
稳定性:Oxidizes when exposed to air.
储存条件:-20ºC
海关编码:3507909000
WGK Germany:3
安全说明:S24/25
RTECS号:HA5365000
危险品标志:Xi; Xn
1.将新鲜或冷冻猪心,洗净,去血块、脂肪和肌腱等,切条,用绞肉机绞碎。然后加入1.5倍的水,用1mol/L的硫酸调节pH值为4左右,常温下搅拌,浸提2h,压滤。滤液用1mol/L的氨水中和至pH=6.2,离心分离取清液。残渣再用等量水重复提取一次,合并两次提取液。提取液用2mol/L氨水调pH值为7.5,静止沉淀杂蛋白,离心,吸取上层清液。然后按每升提取液加入10g沸石,在不断搅拌下充分吸附40min,静置,弃去上层清液。用蒸馏水洗涤吸附有细胞色素C的沸石3次,用0.2%的氯化钠洗涤4次,再用蒸馏水洗至洗涤液澄清。过滤沸石,抽干,装入色谱柱中,并用25%的硫酸铵溶液洗脱,收集洗脱液。洗脱液中加入固体硫酸铵使浓度达45%,杂蛋白完全析出,过滤。滤液中缓慢加入三氯乙酸(20%)溶液,边加边搅拌,待细胞色素C沉淀完全析出后,离心收集沉淀。将沉淀溶于蒸馏水,用水透析至无硫酸根离子。将透析后溶液通过已处理好的Amberlite IRC50(NH+4)树脂柱吸附,用水洗涤至澄清,再用磷酸氢二钠(0.6mol/L)和氯化钠(0.4mol/L)混合液洗脱,洗脱速要慢,一般流速为2ml/min。洗脱液再用蒸馏水透析至无氯离子为止,可得细胞色素C精品溶液。收率为100~150mg/kg,含量大于20mg/ml。
2.以新鲜酵母为原料的提取法

1.细胞呼吸激活药。对组织中细胞的氧化、还原过程具有迅速的酶促作用。用于急救或辅助治疗中因各种原因引起的组织缺氧。对抗癌药物引起的白血球降低,四肢循环障碍,肝疾患,肾炎亦有一定的治疗作用。
2.适用于治疗由脑缺氧、心肌缺氧和其他组织缺氧引起的一系列症状。本品尚能促进受损肝细胞再生、骨髓造血机能修复,显著减轻由放疗引起的白细胞减少症。[1]
本品系自猪或牛心中提取的细胞色素C的水溶液。每1ml中含细胞色素C不得少于15mg。
本品应从检疫合格的猪或牛心中提取,生产过程应符合现行版《药品生产质量管理规范》的要求。
本品为深红色的澄清液体。
(1)取含铁量项下的供试品溶液1ml,滴加20%三氯醋酸溶液,即生成棕色或棕红色的凝乳状沉淀,溶液的红色消失。沉淀能在水中溶解,溶液显棕红色。
(2)取含铁量项下的供试品溶液1ml,置50ml量瓶中,用磷酸盐缓冲液(取磷酸二氢钠1.38g与磷酸氢二钠31.2g,加水适量使溶解成1000ml,调节pH值至7.3)稀释至刻度,加连二亚硫酸钠约15mg,摇匀,照紫外-可见分光光度法(2010年版药典二部附录ⅣA)测定,在520nm与550nm的波长处有最大吸收,在535nm的波长处有最小吸收。
含铁量--标准铁溶液的制备
取硫酸铁铵50g,加水300ml与硫酸6ml的混合液溶解后,加水适量使成1000ml,摇匀。精密量取25ml,置碘瓶中,加盐酸5ml,混合,加碘化钾试液12ml,密塞,静置10分钟,用硫代硫酸钠滴定液(0.1mol/L)滴定,至近终点时,加淀粉指示液1ml,继续滴定至蓝色消失。每1ml硫代硫酸钠滴定液(0.1mol/L)相当于5.585mg的Fe。根据硫代硫酸钠滴定液(0.1mol/L)消耗的量(ml),计算每1ml中含Fe量(mg)。精密量取适量,加硫酸稀释液(取稀硫酸2ml,用水稀释至500ml)制成每1ml中含23μg的Fe。
供试品溶液的制备
精密量取本品适量(约相当于细胞色素C 100mg),置10ml量瓶中,用水稀释至刻度。
测定法
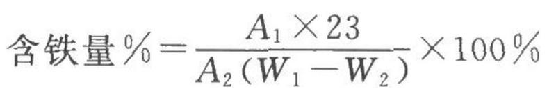
精密量取供试品溶液5ml,置已炽灼至恒重的坩埚中,蒸干,在105℃干燥至恒重,精密称定重量W1,缓缓炽灼至完全炭化后,继续在500~600℃炽灼使完全灰化并恒重,精密称定重量W2。另精密量取供试品溶液1ml,置25ml量瓶中,加30%过氧化氢溶液0.7ml与稀硫酸0.5ml,置水浴中,加热30分钟,取出,放冷,精密加入联吡啶试液2ml,置冷水浴中,缓缓加入亚硫酸钠试液5ml,随加随振摇,置60~70℃水浴中,加热30分钟,取出,放冷至室温,用水稀释至刻度,摇匀,照紫外-可见分光光度法(2010年版药典二部附录Ⅳ A),在522nm的波长处测定吸光度A1,另精密量取标准铁溶液2ml,置25ml量瓶中,照上述方法,自“加30%过氧化氢溶液0.7ml”起,依法操作,测定吸光度A2,按下式计算,含铁量应为0.40%~0.46%。

细菌内毒素
取本品,依法检查(2010年版药典二部附录ⅪE),每1mg细胞色素C中含内毒素的量应小于5.0EU。
过敏反应
取本品适量,加注射用水稀释成每1ml中含细胞色素C 7.5mg的溶液,作为供试品溶液,依法检查(2010年版药典二部附录Ⅺ K),应符合规定。
活力
照细胞色素C活力测定法(2010年版药典二部附录ⅫB)测定,不得低于95.0%。
精密量取含铁量项下的供试品溶液1ml,置50ml量瓶中,用鉴别(2)项下的磷酸盐缓冲液稀释至刻度,加连二亚硫酸钠约15mg,摇匀,照紫外-可见分光光度法(2010年版药典二部附录Ⅳ A),在约550nm的波长处,以间隔0.5nm找出最大吸收波长,测定吸光度,按细胞色素C的吸收系数(E)为23.0计算,即得。
(1)细胞色素C注射液 (2)注射用细胞色素C
细胞色素C注射液—细胞色素C的测定—分光光度法
本方法采用分光光度法测定细胞色素C注射液中细胞色素C的含量。
本方法适用于细胞色素C注射液。
取本品适量,加磷酸盐缓冲液溶解并定容,再加连二亚硫酸钠,用紫外-可见分光光度法测定吸光度,按细胞色素C的吸收系数(E1m)为23.0计算,即得。
1.连二亚硫酸钠
2.磷酸盐缓冲液
可见分光光度计
供试品溶液的制备
精密量取本品1mL,作为即得供试品溶液。
注:“精密称取”系指称取重量应准确至所称取重量的千分之一。“精密量取”系指量取体积的准确度应符合国家标准中对该体积移液管的精度要求。
细胞色素C系从猪或牛心中提取而得,为生物氧化过程中的电子传递体。作用与辅酶相似。当组织缺氧时,细胞通透性增高,注射用药后,细胞色素C可进入细胞内起到矫正细胞呼吸与促进物质代谢的作用。
本品为细胞呼吸激活酶,作为组织缺氧治疗的急救用药和辅助药物,如一氧化碳中毒,安眠药中毒,初生儿假死,不可逆休克期缺氧,麻醉前的处理;肺炎,肺癌,硅肺,肺气肿,支气管扩张所引起的呼吸困难,高山病缺氧,脑血管障碍,脑外伤,脑出血,脑动脉硬化症,脑震荡后遗症,乙型脑炎后遗症,百日咳脑病等等引起的脑缺氧;中毒性心肌损害,心肌炎,心肌代偿不全,心绞痛,白喉性心肌炎,心肌梗塞等;对抗癌药物所引起的白血球的降低,四肢循环障碍,神经麻痹症,肝病,肾炎也有改善作用。[2]
诱导细胞凋亡
有关细胞凋亡的研究表明,细胞色素C与细胞凋亡有关,从线粒体中泄露出的细胞色素C有诱导细胞凋亡的作用。
细胞色素C注射后,大部分被缺氧组织利用。少部分分布于心脏组织中,逐渐经肝、肾还原,由尿排出。[2]
细胞色素C为细胞呼吸激活药,用于各种组织缺氧的急救或辅助治疗,如一氧化碳中毒、中枢抑制药(催眠药)中毒、新生儿窒息、严重休克期缺氧、麻醉及肺部疾病引起的呼吸困难、高山缺氧、脑缺氧及心脏疾病引起的缺氧等,但疗效有时不显著。在国外,细胞色素C是某些治疗白内障的眼药的成分,但其作用不清楚。[2]
1.对细胞色素C过敏者。
2.用药前应作过敏试验,阳性反应者禁用。[2]
1. 肌注:成人每次15mg,每日1次,病重者每次30mg,每日2次,更严重者可酌情增加。儿童用量酌减。
2. 静注:每次15~30mg,每日1~2次,加25%葡萄糖液20ml混匀后,缓慢注射;亦可用5%~10%葡萄糖液或等渗盐水等稀释后静滴。
3. 粉针(冻干型)目前用25%葡萄糖液20ml或5%葡萄糖液或灭菌等渗盐水溶解后滴注。[2]
1.可引起过敏反应,用药前需作过敏试验。
2.当停用后再用时,应再作过敏试验,阳性者禁用。
3.治疗中若一经停药,再用药时易发生休克,如发生休克,用升压药,强心药,抗组织胺药,肾上腺皮质素处理.
4.对缺氧治疗应采取综合措施。[2]
1.可引起过敏反应,用前需作过敏试验。
2.有局部痉挛、皮疹、发热、口渴及暂时性休克等反应。[2]
细胞色素C用于各种组织缺氧的急救或辅助治疗,如一氧化化碳及催眠药中毒,新生儿窒息、脑外伤等各种原因引起的脑缺氧等。对抗癌药物引起的白细胞降低,四肢循环障碍,肝脏疾患和肾炎亦有一定改善作用。[2]
细胞色素种类较多,可以用光谱学、血红素基团的精确结构、抑制剂的敏感度以及还原电势的大小来分辨。
根据辅基的不同,可以将细胞色素大致分为三类:
分类辅基
细胞色素a 血红素a(原血红素)
细胞色素b血红素b(甲酰血红素)
细胞色素d 二氢卟酚(Chlorin)的衍生物[1]
细胞色素c不是根据辅基来命名;与其他三类细胞色素非共价结合血红素不同的是,细胞色素c通过分子中的半胱氨酸巯基与血红素共价结合。[2]细胞色素e尚无,但有细胞色素f(细胞色素c中的一种)。[3]此外,细胞色素d仅存在于细菌中。
在线粒体和叶绿体中,细胞色素常常结合在电子传递和相关代谢途径的复合物酶中。
亲缘关系越近的生物,其细胞色素C越相似或相同。比如人和黑猩猩。而如果在进化史上相去甚远,则其细胞色素C也相差越远,比如人和酵母菌。
鉴于细胞色素C分子在呼吸电子传递链中不可或缺的地位,其分子结构是相对保守的。但随着生物的进化,其分子组成结构也必将出现变异,只是相对于其他蛋白来说,细胞色素C分子的很多变异可能导致生物体的电子传递出现问题而导致死亡,因此,其分子进化要缓慢而保守。
求购