两点间距离公式

两点间距离公式

目录导航

定义

两点间距离公式常用于函数图形内求两点之间距离、求点的坐标的基本公式,是距离公式之一。两点间距离公式叙述了点和点之间距离的关系。

平面坐标形式

下面不加证明地给出几个公式。

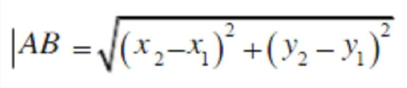
公式

设两个点A、B以及坐标分别为,则A和B两点之间的距离为:

推论

直线上两点间的距离公式:

设直线的方程为,点为该线上任意两点,则

这一公式即所谓圆锥曲线的弦长公式。若记为直线AB的倾斜角,则

同时,若已知直线公式和其中一个点,并且给定了距离,可以反求另一个点的坐标。

实例

现在有一只工程队要铺设一条网络,连接A,B两城。他们首先要知道两城之间的距离,才能准备材料。他们用全球定位系统将两城的位置在平面直角坐标系中表示出来。现在我们就来试试看能不能帮他们求出A、B两城之间的距离。

在黑板上画出A,B两点,如下图:

那么,我们怎么求出AB之间的距离呢?

我们来试试看,能不能通过添加一些辅助线,来解答问题呢?

首先我们作点A关于X轴的垂线,设垂足为A’,再作B关于Y轴的垂线,设垂足为B’;延长AA’和BB’使之交与C点。

如下图:

显然角C等于90度,这样我们就构造出了一个三角形ABC,而我们要求的AB就在这

个直角三角形上。因此我们是不是可以考虑看看用勾股定理来求出AB呢?

由勾股定理可以得知:

由A(-20,20)和B(20,-10),所以可知C(-20,-10)。现在我们可以将AB平移到Y轴上,设这两个对应的点为N1,N2,所以:

因此可知:

AB2=|20-(-20)|2+|(-10)-20|2=2500

所以

现在,我们已经求出了A、B两城的距离。现在,我们来思考一个问题:是不是任意两点,只要知道这两点的坐标,就可以求出这两点之间的距离呢?我们能不能找到一个公式来求两点之间的距离呢?

不妨设A(x1,x2),B(x2,y2)。因此可以推出

三维坐标形式

公式

,则[3]

推导过程

在三维坐标中,首先计算两点在平面坐标中(即轴上)的距离,再计算两点在轴上的垂直距离。再次用勾股定理,即证。

极坐标形式

公式

下面不加证明地给出该公式。设极坐标系中两点,则

相关百科
返回顶部
产品求购 求购