信息量

信息量

中文名 信息量
应用学科 通信
目录导航

历史

1928年,R.V.L.哈特莱提出了信息定量化的初步设想,他将符号取值数m的对数定义为信息量,即I=log2m。对信息量作深入、系统研究的是信息论创始人C.E.仙农。1948年,仙农指出信源给出的符号是随机的,信源的信息量应是概率的函数,以信源的信息熵表示,即,其中Pi表示信源不同种类符号的概率,i= 1,2,…,n。

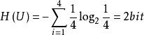
例如,若一个连续信源被等概率量化为4层,即4 种符号。这个信源每个符号所给出的信息最应为,与哈特莱公式I=log2m=log24=2bit一致。实质上哈特莱公式是等概率时仙农公式的特例。

图1图1基本内容 实际信源多为有记忆序列信源,只有在掌握全部序列的概率特性后,才能计算出该信源中平均一个符号的熵HL(U)(L为符号数这通常是困难的。如果序列信源简化为简单的一阶、齐次、遍历马氏链,则比较简单。根据符号的条件概率Pji(即前一符号为i条件下后一符号为j的概率),可以求出遍历信源的稳定概率Pi,再由Pi和Pji求出HL(U)。即如图1 。

其中H(U|V)称为条件熵,即前一符号V已知时后一符号U的不确定度。

信息量与信息熵在概念上是有区别的。在收到符号之前是不能肯定信源到底发送什么符号,通信的目的就是使接收者在收到符号后,解除对信源存在的疑义(不确定度),使不确定度变为零。这说明接收者从发送者的信源中获得的信息量是一个相对的量(H(U)-0)。而信息熵是描述信源本身统计特性的物理量,它表示信源产生符号的平均不确定度,不管有无接收者,它总是客观存在的量。

从信源中一个符号V中获取另一符号u的信息

量可用互信息表示,即

I(U;V)= H(U)-H(U|V)

表示在收到V以后仍然存在对信源符号U的疑义(不确定度)。一般情况下

I(U;V)≤H(U)

即获得的信息量比信源给出的信息熵要小。

连续信源可有无限个取值,输出信息量是无限大,但互信息是两个熵值之差,是相对量。这样,不论连续或离散信源,接收者获取的信息量仍然保持信息的一切特性,且是有限值。

信息量的引入,使通信、信息以及相关学科得以建立在定量分析的基础上,为各有关理论的确立与发展提供了保证。

简介

所谓信息量是指从N个相等可能事件中选出一个事件所需要的信息度量或含量,也就是在辩识N个事件中特定的一个事件的过程中所需要提问"是或否"的最少次数.

香农(C. E. Shannon)信息论应用概率来描述不确定性。信息是用不确定性的量度定义的.一个消息的可能性愈小,其信息愈多;而消息的可能性愈大,则其信息愈少.事件出现的概率小,不确定性越多,信息量就大,反之则少。

信息现代定义。[2006年,医学信息(杂志),邓宇等].

信息是物质、能量、信息及其属性的标示。逆维纳信息定义

信息是确定性的增加。逆香农信息定义

信息是事物现象及其属性标识的集合。2002年

在数学上,所传输的消息是其出现概率的单调下降函数。如从64个数中选定某一个数,提问:“是否大于32?”,则不论回答是与否,都消去了半数的可能事件,如此下去,只要问6次这类问题,就可以从64个数中选定一个数。我们可以用二进制的6个位来记录这一过程,就可以得到这条信息。

信息多少的量度。1928年R.V.L.哈特莱首先提出信息定量化的初步设想,他将消息数的对数定义为信息量。若信源有m种消息,且每个消息是以相等可能产生的,则该信源的信息量可表示为I=logm。但对信息量作深入而系统研究,还是从1948年C.E.香农的奠基性工作开始的。

信息的统计特征描述是早在1948年香农把热力学中熵的概念与熵增原理引入信息理论的结果。先行考察熵增原理。热力学中的熵增原理是这样表述的:存在一个态函数-熵,只有不可逆过程才能使孤立系统的熵增加,而可逆过程不会改变孤立系统的熵。从中可以看出:一、熵及熵增是系统行为;二、这个系统是孤立系统;三、熵是统计性状态量,熵增是统计性过程量。讨论信息的熵表述时,应充分注意这些特征的存在。并且知道,给定系统中发生的信息传播,是不可逆过程。

E.H.WeberE.H.Weber在信息论中,认为信源输出的消息是随机的。即在未收到消息之前,是不能肯定信源到底发送什么样的消息。而通信的目的也就是要使接收者在接收到消息后,尽可能多的解除接收者对信源所存在的疑义(不定度),因此这个被解除的不定度实际上就是在通信中所要传送的信息量。因此,接收的信息量在无干扰时,在数值上就等于信源的信息熵,式中P(xi)为信源取第i个符号的概率。但在概念上,信息熵与信息量是有区别的。信息熵是描述信源本身统计特性的一个物理量。它是信源平均不定度,是信源统计特性的一个客观表征量。不管是否有接收者它总是客观存在的。信息量则往往是针对接收者而言的,所谓接收者获得了信息,是指接收者收到消息后解除了对信源的平均不定度,它具有相对性。对于信息量的说明须引入互信息的概念。

在信息论中,互信息的定义是:I(X;Y)=H(X)-H(X|Y),数式右边后一项称为条件熵,对离散消息可表示,它表示已知Y以后,对X仍存在的不定度。因此,互信息I(X;Y)是表示当收到Y以后所获得关于信源X的信息量。与互信息相对应,常称H(X)为自信息。互信息具有三个基本性质。

①非负性:I(X;Y)≥0,仅当收到的消息与发送的消息统计独立时,互信息才为0。

公式公式②互信息不大于信源的熵:I(X;Y)≤H(X),即接收者从信源中所获得的信息必不大于信源本身的熵。仅当信道无噪声时,两者才相等。

③对称性:I(X;Y)=I(Y;X),即Y隐含X和X隐含Y的互信息是相等的。

对于连续信源的互信息,它仍表示两个熵的差值,所以也可直接从离散情况加以推广,并保持上述离散情况的一切特性,即 实际信源是单个消息信源的组合,所以实际信源的互信息I(X;Y)也可以直接从上述单个消息的互信息I(X;Y)加以推广,即I(X;Y)=H(X)-H(X│Y)。配图相关连接

计算方法

信息论创始人C.E.Shannon,1938年首次使用比特(bit)概念:1(bit)=。它相当于对二个可能结局所作的一次选择量。信息论采用对随机分布概率取对数的办法,解决了不定度的度量问题。

m个对象集合中的第i个对象,按n个观控指标测度的状态集合的

全信息量TI=

从试验后的结局得知试验前的不定度的减少,就是申农界定的信息量,即

自由信息量FI=-∑pi,(i=1,2,…,n)。

式中pi是与随机变量xi对应的观控权重,它趋近映射其实际状态的分布概率。由其内在分布构成引起的在试验前的不定度的减少,称为先验信息或谓约束信息量。风险是潜藏在随机变量尚未变之前的内在结构能(即形成该种结构的诸多作用中还在继续起作用的有效能量)中的。可以显示、映射这种作用的是

约束信息量BI=TI-FI。

研究表明,m个观控对象、按n个观控指标进行规范化控制的比较收益优选序,与其自由信息量FI之优选序趋近一致;而且各观控对象“愈自由,风险愈小”;约束信息量BI就是映射其风险的本征性测度,即风险熵。

把信息描述为信息熵,是状态量,其存在是绝对的;信息量是熵增,是过程量,是与信息传播行为有关的量,其存在是相对的。在考虑到系统性、统计性的基础上,认为:信息量是因具体信源和具体信宿范围决定的,描述信息潜在可能流动价值的统计量。本说法符合熵增原理所要求的条件:

一、“具体信源和信宿范围”构成孤立系统,信息量是系统行为而不仅仅是信源或信宿的单独行为。

二、界定了信息量是统计量。此种表述还说明,信息量并不依赖具体的传播行为而存在,是对“具体信源和具体信宿”的某信息潜在可能流动价值的评价,而不是针对已经实现了的信息流动的。由此,信息量实现了信息的度量。

计算过程

如何计算信息量的多少?在日常生活中,极少发生的事件一旦发生是容易引起人们关注的,而司空见惯的事不会引起注意,也就是说,极少见的事件所带来的信息量多。如果用统计学的术语来描述,就是出现概率小的事件信息量多。因此,事件出现得概率越小,信息量愈大。即信息量的多少是与事件发生频繁(即概率大小)成反比。

⒈如已知事件Xi已发生,则表示Xi所含有或所提供的信息量

H(Xi) = −

例题:若估计在一次国际象棋比赛中谢军获得冠军的可能性为0.1(记为事件A),而在另一次国际象棋比赛中她得到冠军的可能性为0.9(记为事件B)。试分别计算当你得知她获得冠军时,从这两个事件中获得的信息量各为多少?

H(A)=-≈3.32(比特)

H(B)=-≈0.152(比特)

⒉统计信息量的计算公式为:

Xi —— 表示第i个状态(总共有n种状态);

P(Xi)——表示第i个状态出现的概率;

H(X)——表示用以消除这个事物的不确定性所需要的信息量。

例题:向空中投掷硬币,落地后有两种可能的状态,一个是正面朝上,另一个是反面朝上,每个状态出现的概率为1/2。如投掷均匀的正六面体的骰子,则可能会出现的状态有6个,每一个状态出现的概率均为1/6。试通过计算来比较状态的不肯定性与硬币状态的不肯定性的大小。

H(硬币)= -(2×1/2)×≈1(比特)

H(骰子)= -(1/6×6)×≈2.6(比特)

由以上计算可以得出两个推论:

[推论1] 当且仅当某个P(Xi)=1,其余的都等于0时, H(X)= 0。

[推论2]当且仅当某个P(Xi)=1/n,i=1, 2,……, n时,H(X)有极大值log n。

发展过程

如今被称为信息化社会,现代情报学理论及其应用,非常注重信息量化测度。1980年代,英国著名情报学家B.C.布鲁克斯,在阐述人之信息(情报)获取过程时,深入研究了感觉信息的接收过程,并将透视原理──对象的观察长度Z与从观察者到被观察对象之间的物理距离X成反比,引入情报学,提出了Z=的对数假说。用此能较好地说明信息传递中,情报随时间、空间、学科(行业)的不同而呈现的对数变换。然而,关于用户的情报搜寻行为,在其信息来源上,“获取距离最近的比例最高,最远的比例最低”的结论,在跨域一体、存在国际互联网,需要有新的理论进行新的概括。对数透视变换,源于实验心理物理学。1846年德国心理学家E.H.Weber提出了韦伯公式:△I/I=k。这里,△I代表刚可感觉到的差别阈限,I代表标准刺激物理量,k是小于1的常数。后来,Fechner把这个关于差别阈限的规律称之为韦伯定律,并于1860年在此基础上提出了著名的费肯纳对数定律:心理的感觉量值S是物理刺激量I的对数函数,即S=cLogI,c是由特殊感觉方式确定的常数。

1957年Stevens提出幂定律:S=bIa,a与b为特征常数。心理物理函数究竟是服从幂定律还是服从对数定律?W.S.Togerson认为,这不能通过实验解决,而是一个在实验中进行选择的问题。G.Ekman在假定Fechner的对数定律是普遍正确的前提下,推导出幂定律是对数定律的一个特例。

中国有突出贡献的科学家程世权,在1990年出版的《模糊决策分析》一书中,评介引述于宏义等对“系统的定性和定量转化,总结归纳出了一种方便可行、科学可靠的定性排序与定量转化的方法”。于宏义等之方法,在利用显在的频数信息的同时,巧妙利用了潜在的泛序信息——权数,使模糊系统简便有效地转化成明晰的工程系统。其测度模式是:

F(I)=Ln(max{I}-I+2)/Ln(max{I}+1)。

式中,I为所论对象按一定指标的排序序号,F(I)为其隶属度。实际应用中巧妙运用“自动连锁”机制,确实简便、实用、有效。所谓“自动连锁”机制,就是“评价者在评价他人他事他物的同时,不能不表现自身,不能不被评价”。

相关百科
返回顶部
产品求购 求购