焦参数

焦参数

中文名 焦参数
简介 圆锥曲线与主轴垂直的焦半径之长
所属学科 数学
目录导航

基本介绍

焦参数是圆锥曲线的重要参数,正焦弦长的一半称为焦点参数,简称焦参数,记为p,它等于焦点到相应的准线的距离与离心率e的乘积[1]

椭圆的焦参数

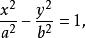
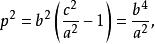
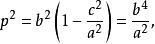
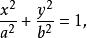
椭圆的焦参数是指从焦点所引垂直于长轴直到与椭圆相交的线段的长度,我们用p表示它,显然,p等于椭圆上落在焦点上侧的点的纵坐标,这个点的横坐标等于c,用这些数目代人椭圆方程

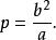
我们就得到决定焦参数的方程,于是应用我们有[2]

或者

抛物线的焦参数

从焦点引出抛物线对称轴的垂直线直到与抛物线相交,所得到的这个线段的长度叫作抛物线的焦参数,要计算它需要在方程

里用焦点的横坐标代替x,我们得到,由此推出,抛物线的焦参数等于p,也就是与抛物线的参数相同[2]

双曲线的焦参数

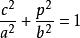
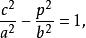
像在椭圆的情形一样,双曲线的焦参数是指从焦点所引出的垂直于x轴(也就是实对称轴)直到与双曲线相交的线段的长度,它用p来表示,显然,p等于双曲线上落在焦点上侧的点的纵坐标。这个点的横坐标等于c,用这些数值代入双曲线的方程[2]

我们就得到决定焦参数的方程

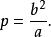
再应用,由此就得到:

或者像椭圆的情形一样

相关百科
返回顶部
产品求购 求购