单值控制图,顾名思义,就是标绘一段时间内单个观测值的控制图,把逐个测定值一个一个地在控制图中打点,对过程实施质量控制。如果过程质量非常均匀连续取值时质量特性值没有变化或数据的取得需要很常时间或取值费用昂贵或者对数据分组作图在时间上不适宜等情况下,这时可以采用单值(x)控制图。单值控制图使用情况为难以将观测值进行分组。通常测量难度大或者测量费用较高,比如航天飞船零件的数据。因此,当不适合使用子组的形式来绘制控制图时,就将子组容量设定为1,绘制单值控制图[2]。
不适合使用子组形式的数据情况主要有以下几种:①样本数据之间的时间间隔很长:②样本数据不易收集;③样本输入是连续且同质的[2]。
由于x图是将逐个测定值立即在控制图中打点,所以能够迅速对生产过程进行了解并采取措施。但单值控制图的检出力较弱,同时当质量数据的分布偏离正态分布时,会使犯错误的概率显著增大。
在一般生产过程稳定的时侯,采用单值控制图最为方便,因为不要对数据加工,只要记录就可以了。
为了确定中心线和上下界限,可以抽取一批样品(如15—20个),测量一下数据,算出子样的平均值和估算出标准差
,再按下列要求画出中心线和上下控制线。
中心线=
控制上限
控制下限
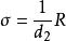
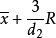
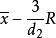
因为均方差可以从极差R值来估计(),所以上下控制界限的公式也可以写成
控制上限=,或
控制下限=,或
,
式中系数,它与计算R时所用的子样大小n有苯,E2与n的关系列于表1[3]。
n | 2 | 3 | 4 | 5 | 6 | 7 | 8 | 9 | 10 | 11 | 12 | 13 | 14 | 15 |
E2 | 2.659 | 1.772 | 1.457 | 1.289 | 1.183 | 1.109 | 1.053 | 1.010 | 0.974 | 0.945 | 0.920 | 0.899 | 0.880 | 0.864 |
n | 2 | 3 | 4 | 5 | 6 | 7 | 8 | 9 | 10 | 11 | 12 | 13 | 14 | 15 |
E2 | 2.659 | 1.772 | 1.457 | 1.289 | 1.183 | 1.109 | 1.053 | 1.010 | 0.974 | 0.945 | 0.920 | 0.899 | 0.880 | 0.864 |