盐酸多柔比星脂质体注射液

用途分类 细胞毒性药物
药品名称 盐酸多柔比星脂质体注射液
目录导航

成份

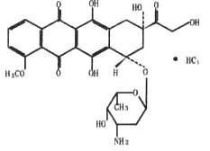
本品主要成份及其化学名称:盐酸多柔比星 化学名称:10-[(3-氨基-2、3、6-三去氧基-α- L -来苏己呲喃基)-氧] -7、8、9、10 - 四氢- 6、8、11-三羟基 – 8 -经乙酰基- 1 - 甲氧基 - 5、12萘二酮的盐酸盐。 结构式: 分子式:C 27H 29NO 11·HCl 分子量:579.99 辅料名称:α-[2-[1,2-二硬脂酰基-sn-甘油基(3)磷酸氧基]乙基氨基甲酰基]-ω甲氧基聚乙二醇-40-钠盐(MPEG-DSPE),氢化大豆卵磷脂(HSPC),胆固醇,硫酸铵,蔗糖,组氨酸,注射用水,盐酸,氢氧化钠

性状

本品是一种脂质体制剂,系将盐酸多柔比星包封于表面结合有甲氧基聚乙二醇(MPEG)的脂质体中,这一过程被称为聚乙二醇化(PEG化),可以保护脂质体免受单核巨噬细胞系统(MPS)识别,从而延长其在血液循环中的时间。 本品为无菌、半透明红色混悬液,每瓶10ml,含盐酸多柔比星2mg/ml,是用于单剂量静脉滴注的浓缩液。本品活性成份为盐酸多柔比星,是从一种波塞链霉菌表灰变种(Streptomyces peucetius var.caesius)培养液中提取得到的蒽环类细胞毒性抗生素。

适应症

本品可用于低CD 4(<200CD 4淋巴细胞/mm[sup]3[/sup])及有广泛皮肤粘膜内脏疾病的与艾滋病相关的卡波氏肉瘤(AIDS-KS)病人。 本品可用作一线全身化疗药物,或者用作治疗病情有进展的AIDS-KS病人的二线化疗药物,也可用于不能耐受下列两种以上药物联合化疗的病人:长春新碱、博莱霉素和多柔比星(或其他蒽环类抗生素)。

规格

20mg/10ml/瓶。

用法用量

本品按20mg/m[sup]2[/sup],每2~3周一次静脉内给药,因不能排除药物蓄积和毒性增强的可能,故给药间隔不宜少于10天。病人应持续治疗2~3个月以产生疗效。为保持一定的疗效,在需要时应继续治疗。 本品用250ml或500ml,5%(50mg/ml)葡萄糖注射液稀释后使用,静脉滴注30分钟以上。 根据推荐剂量和病人的体表面积确定本品的剂量并按下述方法稀释: 剂量<90mg:本品用250ml 5% (50mg/ml)葡萄糖注射液稀释。 剂量≥90mg:本品用500ml 5% (50mg/ml)葡萄糖注射液稀释。 使用时应注意: 1、禁用于肌肉和皮下注射。 2、禁止使用有沉淀物或其他杂质的器材。 3、用灭菌注射器吸取适量本品。 4、由于本品中未加防腐剂或抑菌剂,故必须严格遵守无菌操作。 5、除5%葡萄糖注射液外的其他稀释剂或任何抑菌剂都可能使本品产生沉淀。 6、建议将本品滴注管与5%葡萄糖静脉滴注管相连通。禁止使用在线滤器。 7、使用本品溶液时要谨慎,需戴手套。如果药液与皮肤或粘膜发生接触,应立即用肥皂水清洗。本品的应用和处置的方法与其他抗癌药物相同。 8、为减小滴注反应的风险,起始给药速率应不大于1mg/min。如果无滴注反应,以后的滴注可在60分钟完成。对有滴注反应的病人,滴注方法应作如下调整:总剂量的5%应在开始的15分钟缓慢滴注,如果病人可以耐受且无反应,接下来的15分钟里滴注速度可以加倍。如果仍能耐受,滴注可在接下来的一小时内完成,总滴注时间90分钟。 9、配伍禁忌:不得与其他药物混合使用。 特别注意: 出现早期滴注反应的处理 如果病人出现早期滴注反应,应立即中断滴注,预先给予合适的药物(抗组胺和/或短效类固醇药物),以更慢的滴注速度重新开始。禁止大剂量注射或给用未经稀释的药液。建议本品滴注管与5%葡萄糖滴注管相连接以进一步稀释并最大限度地减少血栓形成和血管外漏危险。滴注可通过外周静脉给药。禁止使用在线滤器。本品禁用于肌肉和皮下注射。 出现手足红肿综合症(PPE)的剂量调整 出现手足红肿综合症(PPE),可以减小剂量或延迟给药。本品剂量调整指南参见表1。表中毒性级别根据美国国立肿瘤研究所毒性评价标准(NCI-CTC)设定。 表1.出现PPE症状的剂量调整方案 前 次 给 予 本 品 后 周 数 毒性级别 第4周 第5周 第6周 1级 继续给药;如病人之 继续给药;如病人之 减量25%继续给药,并恢复 (轻度红斑,水肿或脱皮但不 前曾发生过3,4级皮 前曾发生过3,4级皮 4周给药间隔 影响日常行为活动) 肤毒性反应,给药应 肤毒性反应,给药应 推迟一周 推迟一周 2级 给药推迟一周 给药推迟一周 减量25%继续给药,并恢复 (红斑,脱皮或水肿,有影响 4周给药间隔 但可以进行正常的活动。小水 泡或溃疡小于2厘米) 3级 给药推迟一周 给药推迟一周 停止治疗 (发热,溃疡或肿胀影响行走 或正常行为,不能正常穿衣。) 4级 给药推迟一周 给药推迟一周 停止治疗 (扩散或局部感染并发症,或 卧床不起或住院) 出现口腔炎时的剂量调整 当病人出现口腔炎症状时,可按表2进行剂量调整。 表2.出现口腔炎的剂量调整方案 前 次 给 予 本 品 后 周 数 毒性级别 第4周 第5周 第6周 1级 继续给药;如病人之 继续给药;如病人之 减量25%继续给药,并恢复 (无痛的溃疡,红斑或轻度疼 前曾发生过3,4级口 前曾发生过3,4级口 4周给药间隔。或遵医嘱停 痛) 腔炎,给药应推迟 腔炎,给药应推迟 止治疗。 一周 一周 2级 给药推迟一周 给药推迟一周 减量25%继续给药,并恢复 (疼痛性红斑,水肿或溃疡 4周给药间隔。或遵医嘱停 但可以进食) 止治疗。 3级 给药推迟一周 给药推迟一周 停止治疗 (疼痛性红斑,水肿或溃疡 不能进食) 4级 给药推迟一周 给药推迟一周 停止治疗 (需要接受肠道内或肠道外 营养支持治疗) 出现血液毒性的剂量调整 白细胞减少症是这一人群出现最多的不良反应,嗜中性粒细胞减少症、贫血和血小板减少症也有出现。 当病人ANC计数<1,000/mm[sup]3[/sup]和/或血小板计数<50,000/mm[sup]3[/sup]时需要临时暂停本品。 当ANC计数<1,000/mm[sup]3[/sup]时,可在随后的治疗中同时给予粒细胞集落刺激因子(G-CSF or GM-CSF)治疗,以维持血细胞数量。 特殊病人 肝功能不全病人:曾对少量肝功能不全病人(胆红素值达4mg/dl)给予20mg/m[sup]2[/sup]本品,血浆清除率和淸除半衰期未见变化。根据以往使用盐酸多柔比星的经验,对于肝功能不全的病人应减少给药量。建议当胆红素髙于以下数值时考虑减少用量:血清胆红素1.2~3.0mg/dl,采用常用量的1/2;大于3.0mg/dl时,采用常用量的1/4。 肾功能不全病人:由于多柔比星由肝脏代谢和经胆汁排泄,故使用本品时剂量不需要调整。 脾切除病人:目前尚无本品用于脾切除病人的经验,故不推荐使用。

不良反应

以下引自国外上市的盐酸多柔比星脂质体的临床文献资料。 对AIDS-KS病人进行的临床开放和对照研究显示,与盐酸多柔比星脂质体相关的最常见的不良反应是骨髓抑制,几乎近一半病人发生。 白细胞减少是病人最常见的不良反应,也可见贫血和血小板减少。这些反应一般在治疗早期便可见,但仅是暂时性的。临床试验中很少有因严重骨髓抑制而停药的事件发生。在出现血液学毒性反应时,应按“出现血液毒性的剂量调整”方法进行处理。 在临床研究使用盐酸多柔比星脂质体过程中,出现的较常见的有临床意义的实验室检查异常(≥5%),还包括碱性磷酸酶升高以及天冬酰胺转移酶和胆红素升高,但这些检查异常被认为与基础疾病有关,而与盐酸多柔比星脂质体无关,根据报道,在使用盐酸多柔比星脂质体的过程中,血红蛋白和血小板减少的发生率较低(<5%),白细胞减少导致的脓毒血症更为少见(<1%)。上述某些检测指标异常的产生可能与HIV感染有关,而非盐酸多柔比星脂质体造成。 其他发生率较高(≥5%)的不良反应有:恶心,无力,脱发,发热,腹泻,与滴注有关的急性反应和口腔炎等。 滴注反应主要有潮红,气短,面部水肿,头痛,寒颤,背痛,胸部和喉部收窄感,低血压。在多数情况下,不良反应发生在第一个疗程。采用某种对症处理,暂停滴注或减缓滴注速率后经过几个小时即可消除这些反应。 据报道,连续滴注常规盐酸多柔比星的病人可见口腔炎,接受盐酸多柔比星脂质体的病人亦时有报道。这并不影响病人完成治疗。一般无需调整剂量,除非口腔炎影响病人的进食,此时可延长给药间期或减量。 盐酸多柔比星脂质体临床研究中常发生呼吸系统不良反应(≥5%),这可能与AIDS病人的机会性感染有关。KS病人使用本品后可见机会性感染,在HIV引起的免疫缺陷病人中常见发生。在临床研究中,最常见的机会性感染是念珠菌病,巨细胞病毒感染,单纯疱疹,卡氏肺囊虫肺炎及单纯鸟分支杆菌感染。 其他不很常见的不良反应(<5%)有手掌-足底红斑性感觉迟钝,口腔念珠菌病,恶心,呕吐,体重下降,皮疹,口腔溃疡,呼吸困难,腹痛,过敏反应包括过敏症,血管扩张,头晕,厌食,舌炎,便秘,感觉异常,视网膜炎和意识模糊。 手掌-足底红斑性感觉迟钝是一种有痛感的红色斑症。一般病人在治疗6周或更长时间后会出现这种反应。该反应可能与剂量和用法相关,通过延长给药间期1~2周或减量后可以缓解,多数病人症状在一两周后即可消失。严重时可使用糖皮质激素进行治疗。少数病人症状表现严重,并出现严重的衰弱征象,可能需要停药。 用常规多柔比星制剂治疗时充血性心衰的发生率高。虽然对10例接受盐酸多柔比星脂质体累积用量>460mg/m2的AIDS-KS病人作心肌内膜活组织检查时,9例并未显示蒽环类药物性心肌病,但在使用盐酸多柔比星脂质体发生仍应注意心肌病变的风险。建议AIDS-KS病人的用药剂量为每2或3周20mg/m2,当累积剂量>460mg/m2时仍要注意心脏毒性,这要经过20个疗程,历时约40~60周。 虽然至今尚未见由于盐酸多柔比星脂质体血管外渗而造成局部坏死的报道,但盐酸多柔北星脂质体仍被认为是一种刺激性药物。动物研究显示,盐酸多柔比星以脂质形式给药减少了外渗伤害的可能。如果发生任何血管外渗的迹象(如:刺痛、红斑)都应立即中止滴注而从另一静脉重新开始。用冰敷外渗部位30分钟有助于减轻局部反应。盐酸多柔比星脂质体不可用于肌肉和皮下注射。 既往接受放疗产生的皮肤不良反应在使用盐酸多柔比星脂质体时偶见复发。

禁忌

本品禁用于对本品活性成份或其他成份过敏的病人。也不能用于孕妇和哺乳妇女。对于使用α干扰素进行局部或全身治疗有效的AIDS-KS病人禁用本品。

注意事项

以下引自国外上市的盐酸多柔比星脂质体的临床文献资料。 心脏损害:所有接受盐酸多柔比星脂质体治疗的病人均应经常进行心电图监测,发生一过性心电图改变如T波平坦,S-T段压低和心律失常等时不必立即中止盐酸多柔比星脂质体治疗。然而,QRS复合波减小则是心脏毒性的重要指征。当出现这一改变时,应考虑采用检测蒽环类药物心脏损害最可靠的方法进行检査,如心肌内膜活检。 与心电图相比,考察和监测心脏功能更为特异的方法是通过超声心动描记术或多孔动脉造影术(MUGA)测定左室射血分数。在使用盐酸多柔比星脂质体前应常规采用这些方法检测,在治疗期间应定期复查。当盐酸多柔比星脂质体累积剂量超过450mg/m2时必须在每次用药前考虑评定心脏功能。 每当怀疑出现心脏病变时,如左室射血分数低于治疗前和(或)低于预后相应值(<45%),均应进行心肌内膜活检,必须对继续治疗的益处与产生不可逆性心脏损害的危险进行认真评价。 在定期复查无心电图改变的情况下,心肌病变而产生的充血性心衰可能会突然发生,亦可在停药后数周才出现。 在用蒽环类药物治疗期间,上述各种监测心脏功能的评定试验和方法应按以下次序使用:心电图监测,左室射血分数,心肌内膜活检。当测定结果显示出心脏损害与使用盐酸多柔比星脂质体有关时,应认真权衡继续治疗的益处与心脏损伤的利害关系。 对于有心血管病史的病人,只有当利大于弊时才能接受盐酸多柔比星脂质体治疗。 心功能不全病人接受盐酸多柔比星脂质体治疗时要谨慎。 对已经用过其他蒽环类药物的病人,应注意观察。盐酸多柔比星总剂量的确定亦应考虑既往(或同时)使用的心脏毒性药物,如其他蒽环类/蒽醌类药物,或氟尿嘧啶之类的药物。 骨髓抑制:许多使用盐酸多柔比星脂质体治疗的AIDS-KS病人均有艾滋病或许多合用药物等引起的基础骨髓抑制。对于这类病人,骨髓抑制看来是剂量限制性不良反应。由于可能发生骨髓抑制,故在用药期间应经常检查血细胞计数,至少在每次用药前作检査。持续性骨髄抑制可导致重复感染和出血。 糖尿病人:应注意盐酸多柔比星脂质体每瓶内含蔗糖,而且滴注时用5%葡萄糖注射液稀释。 滴注有关的反应:见不良反应部分。 对驾车和操作机器的影响:虽然至今的研究中盐酸多柔比星脂质体并不影响驾驶能力,但使用盐酸多柔比星脂质体偶尔出现(<5%)头晕和瞌睡。所以有上述反应的病人应避免驾车和操作机器。

孕妇及哺乳期妇女用药

本品对大鼠有胚胎毒性,对家兔有胚胎毒性和堕胎作用,不能排除致畸作用。目前尚无孕妇使用本品的经验,因此本品禁用于孕妇,建议育龄妇女或其配偶在使用本品治疗期间及停药后6个月内避孕。 目前尚不清楚乳汁中是否分泌本品。鉴于受乳婴儿可能因本品而致严重不良反应,因而哺乳期妇女在接受本品前应停止授乳。

儿童用药

关于18岁以下病人使用本品的安全性和有效性尚未确定。

老年用药

60岁以上病人使用本品的安全性和有效性尚未确定,国外同类产品临床研究中的群体药代结果表明,年龄在21~75岁的病人使用本品的药动学无明显差异。

药物相互作用

未对本品正式进行药物相互作用研究,但对于已知与多柔比星可产生相互作用的药物,在合用时需注意。虽无正式的研究报告,但本品与其他盐酸多柔比星剂型一样,可能会增强其他抗癌治疗的毒性。已有报道用盐酸多柔比星会加重环磷酰胺导致的出血性膀胱炎,增强巯嘌呤的肝细胞毒性。所以同时使用其他细胞毒性药物,特别是骨髓毒性药物时需谨慎。

药物过量

盐酸多柔比星急性过量可加重粘膜炎,白细胞减少和血小板减少等毒性反应。急性用药过量患者出现严重骨髄抑制可采取住院、抗生素疗法、输注血小板和粒细胞等措施,粘膜炎加重可采用对症治疗等措施进行治疗。

临床试验

1、国外上市盐酸多柔比星脂质体的临床文献 最初的临床研究计划由两组非对照开放的小样本试验组成。这些研究包括相似的患者群(基本上无例外全为白种男性,同性恋,平均年龄为38岁,AIDS晚期,扩展性卡波氏肉瘤,表现为CD4细胞数低,临床试验组中AIDS病人多数为低危病人)。参加试验的病人在与艾滋病相关的卡波氏肉瘤病人中具有代表性。有247例病人参加的第一项研究是以盐酸多柔比星脂质体进行的无对照开放的多中心试验。病人接受的平均剂量为20mg/m2,共接受2015个治疗周期,治疗间隔为2周。临床终点包括治疗反应和生活质量。该研究结果如下: 在进行的长期随访中,仅有部分病人接受上市推荐的用药方案,对不同用药方案的疗效反应进行统计学分析,差异不显著。到目前为止,平均缓解持续时间为117天,与疼痛相关的生活质量数据有所改善。 137例与艾滋病相关的卡波氏肉瘤病人参加的第二项研究是无对照开放试验。盐酸多柔比星脂质体的中位剂量为20mg/m[sup]2[/sup],3周重复一次,共进行793个治疗周期,中位累计剂量为110mg/m[sup]2[/sup],有效率如下: 从有效性和所有病人(包括以前接受过化疗的)疼痛的减轻来看,从该研究获得的结果是令人鼓舞的,中位缓解持续时间为92天。截至研究结束时,共有37例病人死亡,生存期的延长效果不显著。 两组研究的分析根据白血球减少症、全身性疾病(包括机会性感染)CD4细胞数进行了调整,并发现原患有粒细胞减少症的病人(ANC<200 cells/mm[sup]3[/sup])的整体反应率(69.3%)与粒细胞基础水平高的患者相同(76.6%)。同样,全身性疾病基础水平风险高的病人(79%)与低风险的病人(68%)的治疗反应率也相似。CD4计数有关的情况是:CD4数量<50cells/mm[sup]3[/sup]和CD4>50cells/mm[sup]3[/sup]的病人反应率相似。然而,<50cells/mm[sup]3[/sup]的患者中有1%完全缓解,而CD4水平最髙的患者中有10%完全缓解。 为了充分证明盐酸多柔比星脂质体的有效性,进行了盐酸多柔比星脂质体(20mg/m[sup]2[/sup])与ABV[多柔比星(20mg/m[sup]2[/sup])、博莱霉素(10U/m2)及长春新碱(1mg/m2)]的前瞻性随机平行对照多中心研究,盐酸多柔比星脂质体组和ABV组每2周给药一次,最多6次。该研究包括258名中至重度卡波氏肉瘤患者(患者统计:男性98%,高加索人75%,平均年龄38岁,同性恋>90%),用盐酸多柔比星脂质体和ABV治疗的病人数分别为133和125例,和前述研究一样,大部分病人成为预后不佳人群。 主要的疗效终点指标基于治疗的反应率(5个标准:完全缓解.临床完全缓解,部分缓解,稳定,疾病进展),而临床受益是建立在患者的癌性疼痛、与肿瘤相关的全身症状和体征、体力状况评分(KPS)和两种生活质量评分(Q0L)基础上的评价。一项评价Q0L的问卷专门针对与艾滋病相关的卡波氏肉瘤,其它的评价采用了“药物疗效研究”(Medical Outcomes Study)获得的方法,该方法使用了“药物疗效研究”中的与HIV相关的项目,并通过比较无症状HIV感染者和带有艾滋病相关综合症病人而得到验证。 治疗终点的完全/部分反应率证明了一个有利于盐酸多柔比星脂质体组的显著的统计学差异,盐酸多柔比星脂质体组和ABV组的反应率分别为46%和26%。两组缓解持续时间相似(盐酸多柔比星脂质体组与ABV组平均缓解持续时间分别为92.5天与84.8天,中位缓解持续时间分别为90天与92天)。除瘤体大小以外的其他病灶特征(如厚度、结节、水肿、颜色和疼痛)的结果表明与基值相比,两组均有所改善。死亡不是其中的一项研究终点,但盐酸多柔比星脂质体的中位生存期为160天,ABV为153天。 关于Q0L答卷,在九个方面中有五个利于盐酸多柔比星脂质体组的统计学的显著差异:总健康水平、疼痛、社交功能、体力水平和健康隐患。有关针对与卡波氏肉瘤相关的问卷,在九个方面中有四个有利于盐酸多柔比星脂质体组的显著统计学差异:肺功能障碍/疼痛,头部/肢体活动受限,运动受限以及睡眠障碍。 综上所述,这一研究表明盐酸多柔比星脂质体与ABV方案有相同效果,在某些方面优于ABV组,如,疾病症状和容颜改善方面。尽管ABV组中没有一个药物是批准用来治疗AIDS-KS,但这种选择是较合理的,因为,它是目前公认的治疗晚期AIDS-KS的有效组合方案。 阳性对照研究(30-11)设计为盐酸多柔比星脂质体组与BV组(博莱霉素与长春新碱)的随机比较试验。通过与已有治疗方法的比较来判断盐酸多柔比星脂质体对受试者的有效性,评价患有中至重度卡波氏肉瘤病人的用药安全性和耐受性。 共有241例中至重度卡波氏肉瘤病人参加:其中218例可用于疗效的评价。盐酸多柔比星脂质体和BV(15mg/m[sup]2[/sup]博莱霉素和1.4mg/㎡长春新碱)均为静脉给药,盐酸多柔比星脂质体每三周给药一次,剂量为20mg/m[sup]2[/sup],BV组治疗周期为三周。 病人接受盐酸多柔比星脂质体治疗的平均周期数为4.8周,BV为3.7周。疗效主要终点指标设为治疗反应:完全缓解,临床完全缓解,部分缓解,稳定以及疾病进展。次要终点包括对病人癌性疼痛的测定,与全身性损伤相关的症状和征兆的描述,体力状态(KPS)和两种生活质量(Q0L)问卷。其中一种评价Q0L的问卷专门针对与艾滋病相关的卡波氏肉瘤。从治疗终点获得的结果如下: 两种治疗中,均无病人表现出完全缓解。 治疗终点的指标中,临床完全缓解/部分缓解差异显著(P<0.001)(盐酸多柔比星脂质体组和BV组的反应率分别为38.8%与14.2%),说明盐酸多柔比星脂质体疗效优于BV组。除瘤体大小以外的其他病灶特征(如厚度、结节、水肿、颜色和疼痛)的结果表明:与基值相比,盐酸多柔比星脂质体治疗组有显著的改善(P<0.006)。对卡波氏肉瘤的皮肤和胃肠病灶,盐酸多柔比星脂质体组和BV组在基值的变化和体力状态方面的变化差异不显著。Q0L中认知功能和穿衣困难两项与基值相比差异显著,盐酸多柔比星脂质体组优于BV组。 上述这些研究结果显示,盐酸多柔比星脂质体对CD4计数低(<200CD4淋巴细胞/mm[sup]3[/sup])及有广泛皮肤粘膜内脏疾病的和与艾滋病相关的卡波氏肉瘤病人的治疗有效。与BV相比,盐酸多柔比星脂质体具有更好的顺应性和更高的治疗反应率。 2、目前国内尚未进行卡泊氏肉瘤人群中本品与上市同类产品对比的临床有效性和多次给药安全性的试验。不推荐治疗期间本品与同类产品进行相互替代。

药理毒理

多柔比星抗肿瘤的确切机理尚不淸楚。一般认为它具有抑制DNA、RNA和蛋白合成的细胞毒作用。这是由于这种蒽环类抗生素能嵌入DNA双螺旋的相邻碱基对之间,从而抑制DNA复制所需的解链过程。 以下引自国外上市的盐酸多柔比星脂质体的临床前文献资料。 用盐酸多柔比星脂质体对动物进行多剂量给药的研究中所显示的毒性与人体长期滴注盐酸多柔比星的结果相近。盐酸多柔比星脂质体系将盐酸多柔比星包封于PEG化脂质体中,因而其毒性反应的程度有所不同: 心脏毒性:兔的研究表明,使用盐酸多柔比星脂质体的心脏毒性低于一般盐酸多柔比星制剂。 皮肤毒性:在大鼠和犬进行的重复给药试验中,用相当于临床应用的剂量可见严重的皮肤炎症和溃疡形成。在犬的研究中,降低给药剂量或者延长给药间隔可减少这些损伤的发生率和严重程度。在长期静脉滴注用药的病人中也可见近似的皮肤损害,如手掌-足底红斑性感觉迟钝。 过敏反应:在犬的重复给药毒理研究中,给予脂质体(安慰剂)可见以下急性反应:低血压、粘膜苍白、流涎、呕吐和活动过多而后活动减少及嗜睡。犬使用盐酸多柔比星脂质体可见和多柔比星相似但不严重的反应,预给抗组胺药物可减轻低血压反应。然而这一反应并无生命危险,犬在停药后可迅速恢复正常。 局部毒性:皮下耐受性试验显示盐酸多柔比星脂质体与盐酸多柔比星相比,在发生药物外渗下所产生的局部刺激或损害较轻。 致突变性与致癌性:虽然盐酸多柔比星脂质体尚未进行该方面研究,但盐酸多柔比星脂质体的药理活性成份盐酸多柔比星具有致突变和致癌作用。脂质体(安慰剂)无致突变作用和致癌作用。 生殖毒性:小鼠给予盐酸多柔比星脂质体单剂量(36mg/kg)导致轻至中度的卵巢或睾丸萎缩。大鼠重复给药(≥0.25mg/kg/天)会导致睾丸重量下降和精子减少。犬重复给药(1mg/kg/天)后观察到曲细精管弥散性变性和精子显著减少。

药代动力学

国外上市盐酸多柔比星脂质体人体药代动力学研究文献 盐酸多柔比星脂质体在卡泊氏肉瘤患者进行的药代动力学研究结果见下表。在相同剂量下,盐酸多柔比星脂质体中绝大多数是以脂质体包裹形式存在的盐酸多柔比星(约占测得量的90%~95%),参比药物血药浓度和AUC值显著高于常规盐酸多柔比星制剂。在滴注给药后48~96小时,对卡波氏肉瘤和正常皮肤进行活组织检査:在接受20mg/m[sup]2[/sup]盐酸多柔比星脂质体的治疗病人中,给药48小时后卡波氏肉瘤中多柔比星总浓度(脂质体包裹和未包裹的)比正常皮肤均髙19倍(范围3~53)。 国内本品在人体的比较药代动力学试验 本品进行了与进口同类产品(以下简称参比药物)人体比较药代动力学试验,采用两制剂两周期双交叉试验设计,给22例乳腺癌患者分别前后各一次滴注50mg/m[sup]2[/sup],用药间隔1月。比较本品与参比药物的药动学参数,以及单次临床用药的安全性。 对本品和参比药物主要药代参数经对数转换后进行方差分析,统计结果表明,本品与参比药物各药代参数无统计学差异。 两药单次给药在不良反应发生程度和发生率上,与文献报道一致。 本品动物试验 给Beagle犬以1mg/kg剂量分别注射本品和参比药物,检测血清中药物浓度,绘制药一时曲线。两药物均符合二室模型的特征。按二室模型计算本品和参比药物的各项药动参数,结果如下表。对药动学参数以SPSS进行AN0VA检测,在P=0.05水平未发现两种样品各参数之间有显著性差异,提示本品和参比药物静脉注射后体内药动学特征基本相似。 用荷瘤大鼠尾静脉注射5mg/kg的本品和参比药物,在给药后1小时,18小时和48小时检测组织中药物浓度,结果见下表。两种药物7个组织脏器盐酸多柔比星的含量用SPSS进行AN0VA分析,在P=0.05水平,差异不显著。

贮藏

未开封的药瓶应保存在2-8℃环境下,避光、密闭、避免冷冻。 本品用5%葡萄糖注射液稀释后供静脉注射的药液应立即使用。稀释液不立即使用时应保存在2-8℃环境下,不超过24小时。 远离儿童放置。

包装

10ml西林瓶装,1瓶/盒。

有效期

24个月

执行标准

YBH12722008

相关百科
返回顶部
产品求购 求购