酚红

酚红

目录导航

基本信息

中文名称:酚红

英文名称:Phenol red

别名名称:3,3-二(对羟苯基)-3H-2,1-苯并氧硫杂环戊烷-1,1-二氧化物 苯酚磺酞 苯酚磺酰酞 苯酚磺酞

更多别名:Phenolsulfonphthalein

分子式:C19H14O5S

分子量:354.38

编号系统

CAS号:143-74-8

MDL号:MFCD00003552

EINECS号:205-609-7

RTECS号:SJ7490000

BRN号:326470

PubChem号:24898424

相关数据

物性数据

性状:红色晶体

熔点(ºC):>300 ºC

沸点(ºC,常压):>300 ºC

闪点(ºC):>300 ºC

溶解性:微溶于水,易溶于乙醇和碱溶液,1g本品溶于1300ml水,约350ml醇,500ml丙酮,几乎不溶于醚和氯仿,溶于氢氧化碱或碳酸碱溶液中呈深红色,在空气中稳定。

毒理学数据

急性毒性:大鼠皮下LD50:>600 mg/kg;

大鼠静脉LD50:752 mg/kg;

小鼠静脉LC50:1368 mg/kg.

生态学数据

其它有害作用:该物质对环境可能有危害,对水体应给予特别注意。

分子结构数据

摩尔折射率:92.38

摩尔体积(cm3/mol):239.7

等张比容(90.2K):691.7

表面张力(dyne/cm):69.2

极化率(10-24cm3):36.62

计算化学数据

1.疏水参数计算参考值(XlogP):无

2.氢键供体数量:2

3.氢键受体数量:5

4.可旋转化学键数量:2

5.互变异构体数量:3

6.拓扑分子极性表面积92.2

7.重原子数量:25

8.表面电荷:0

9.复杂度:545

10.同位素原子数量:0

11.确定原子立构中心数量:0

12.不确定原子立构中心数量:0

13.确定化学键立构中心数量:0

14.不确定化学键立构中心数量:0

15.共价键单元数量:1

性质与稳定性

常温常压下稳定。

禁配物:强氧化剂

贮存方法

密封于阴凉处保存。

合成方法

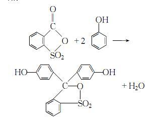
1.将邻磺基苯甲酸酐与苯酚共热熔化,加入无水氯化锌于135-140℃反应7h,然后将缩合物倒入热水中,用滤,用水洗涤固体,进一步用酸碱沉淀法提纯而得成品。

2.将邻磺酰苯甲酰酐和苯酚混合物共热使之完全熔化,当温度为130℃时,加入无水氯化锌于135~140℃反应7h:

反应结束后,加水加热至沸,不断搅拌至苯酚气味消失,离心甩干,用水洗涤沉淀二次。然后加入10%碳酸钠,加热、静置、过滤、水洗沉淀二次,滤液中缓慢加入稀盐酸,搅拌加热至60~80℃,冷却后的沉淀用水洗后并入上述处理过的沉淀中,离心甩干后干燥即可。

用途

用作酸碱指标剂,变色范围pH:6.8(黄)-8.4(红)。也用于生化研究。

三糖铁琼脂在微生物培养中用作鉴别培养基,酚红在其中用作指示剂。成分:蛋白胨20g,牛肉膏5g,乳糖10g蔗糖10g,葡萄糖1g,氯化钠5g,硫酸亚铁铵〔e(NH4)2(SO4)2·6H2O〕0.2g,硫代硫酸钠0.2g,琼脂12g,酚红0.025g,蒸馏水1000mL,pH7.4。

制法:将除琼脂和酚红以外的各成分溶解于蒸馏水中,校正pH。加入琼脂,加热煮沸,以溶化琼脂。加入0.2%酚红水溶液12.5mL,摇匀。分装试管,装量宜多些,以便得到较高的底层。121℃高压灭菌15min。放置高层斜面备用。

说明书

【化学成分】苯酚磺酰酞;酚磺酞;3,3-二(对羟苯基)-3H-2,1-苯并氧硫杂环戊烷-1,1-二氧化物;苯酚磺酞;Phenol rde;PSP;Phenolsulfonphthalein;PSP;Sulfonphthal;3,3-bis(p-Hydroxyphenyl)-3H-2,1-benzoxathiol-1,1-dioxide

【变色范围】较酚酞灵敏,偏酸,范围6.8-8.0,由黄到红。

【适应症】 为肾功能诊断药,静脉注射后,根据尿内排泄的快慢,以测定肾功能是否正常。

取0.1 g苯酚红与5.7 mL 0.05 mol/L的NaOH溶液在研钵中研匀后用纯水溶解制成250 mL试液。

【用量用法】 每次静注1ml,15分钟后,尿量超过50ml,尿中本品含量应占注入量的25%以上,1小时应排出35~40%,2小时总量应排出55~75%

【注意事项】 注射前应饮水300~400毫升,并把尿排空

【规格】注射液:6mg(1ml)。

红外图谱

安全信息

安全标识:S26

危险标识:R36/37/38

安全术语

S26 In case of contact with eyes, rinse immediately with plenty of water and seek medical advice。不慎与眼睛接触后,请立即用大量清水冲洗并征求医生意见。

S37/39Wear suitable gloves and eye/face protection。戴适当的手套和护目镜或面具。

风险术语

R36/37/38 Irritating to eyes, respiratory system and skin。刺激眼睛、呼吸系统和皮肤。

相关百科
返回顶部
产品求购 求购