火焰温度

火焰温度

目录导航

简介

火焰温度火焰温度火焰温度是火焰的主要特性之一。它对火焰中化合物的形成和解离,从而对待测元素的原子化有着重大的影响。

在火焰中,一方面由于燃烧反应要产生热量,另一方面由于火焰中化合物的解离,以及为了将火焰中存在的平衡混合物提高到火焰温度需要消耗热量,火焰的温度就是由火焰中这二者之间的热量平衡来决定的。当火焰处于热平衡状态时,温度就可用来表征火焰的真实能量。[1]

测定方式

火焰温度,可用实验方法测定。测量火焰温度的方法总的可分为两大类,即测温测量法和光学测量法。测温测量法是要引入一个测温体,比如引入一根金属丝或热电偶到火焰内欲测量的区域,当测温体和火焰热气体的温度达到平衡之后,由测温体金属丝的电阻变化或热电偶接点上产生的热电压来测量温度。由于热导和辐射损失,用这种方法测得的温度较实际火焰温度偏低,而且这种方法只适用于热平衡的场合。由于受到测温体熔点的限制,用这种方法所能测量的最高温度也就是在3000℃左右。

光学测量法中,最常用的是钠线自蚀法。该法是先将钠盐引入火焰,用看谱镜对着发亮的背景连续光源进行观测,当连续光源比火焰温度高,则钠D线以吸收黑线出现在背景上,反之,当连续光源比火焰温度低时,则钠D线以亮线出现在背景上,当连续光源和火焰温度相同时,达到自蚀点。自蚀点的温度可用记录连续光源标准钨丝灯的灯电流的方法来确定。标准钨丝灯光源用光学高温计校准。用标准钨丝灯作连续光源能可靠地测量高达2600°K的火焰温度。要测量更高的火焰温度,在寻求合适的光源方面遇到了困难。钠线自蚀法测量的是有效的电子激发温度。这种方法不能用于高度发亮的火焰,因为这种火焰的发射系数和钠D线的发射系数相近,由于缺乏谱线和连续背景的明晰对比,检测灵敏度不佳。

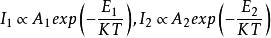
亦可用测定谱线的相对发射强度的方法来测量火焰温度。选择具有已知不同激发电位E1和E2以及跃迁几率A1和A2的同一元素的两条谱线,它们的强度,按照玻尔兹曼分布定律,分别为

只要测定了谱线相对强度,就可以计算出温度T值。这方法的优点是不需要比较光源,困难是在于得到准确的跃迁几率值和准确地测定谱线的相对强度。由于自吸收,不能选用共振线。

也可用测定相对原子吸收强度的方法来测量火焰温度。[1]

绝热火焰温度

简单地说,当燃烧放出的热量全部用来加热气态产物时,产物的温度就是绝热火焰温度。本章开始我们曾提到,燃烧温度是研究燃烧问题时最重要的参数之一。实际燃烧过程中的温度要取决于释热和散热两个方面。绝热火焰温度虽然没有考虑热损失,但它是衡量可燃物特征的一个尺度,以后我们将看到,它对火焰传播特性等也有影响。因此,绝热火焰温度在许多燃烧问题中常被看作是一个相当重要的热力学量。某些文献给出的定义是:在一个孤立系统中的放热反应,如使混合物从一个规定的初始压力和初始温度经过定压且绝热的过程达到化学平衡,系统达到的最终温度称为绝热火焰温度T,。由于不考虑热损失显然是一种理想情况,故又称“理论火焰温度”;由于与有热损失的各种情况比较,这时达到的温度将是最高的,故又称“最高燃烧温度”。不过这一定义并未考虑空气和燃料的比例和惰性添加剂的影响,所以并不代表在最佳空燃比下所能达到的最高温度。

如果燃烧前的反应物和燃烧后的最终产物的成分都是已知的,则绝热火焰温度可根据能量守恒原理求出。[2]

详细介绍

由于火焰温度对化学反应速率所起到的作用,火焰温度可能是燃烧最重要的一个性质。火焰温度既可以通过实验测量出来,又可以通过计算得到。为了方便起见,引入了绝热火焰温度的概念。绝热火焰温度指的是,在一定的初始温度和压力下,给定的燃料(包含燃料和氧化剂),在等压绝热条件下进行化学反应,燃烧系统(属于封闭系统)所达到的终态温度。在实际中,火焰的热量有一部分以热辐射和热对流的方式损失掉了,所以绝热火焰温度基本上不可能达到。然而,绝热火焰温度在燃烧效率和热量传递的计算中起到很重要的作用。对于高温火焰(高于1800K),燃烧产物发生了分解反应,不但体积增大,还吸收了大量的热量。在低温时,化学当量比混合物或者贫燃料混合物燃烧后的产生应该只有CO2和H2O,然而这些产物很不稳定,只要温度稍高一点,就可能部分转变为成简单的分子、原子和离子形式。相应地在转变过程中,能量被吸收,最大火焰温度也相应地被减小了。

火焰颜色为什么不一样?

火焰的实质是高温的气态或等离子态的物质。有两种因素决定火焰的颜色:

一是火焰的温度决定火焰的颜色,火焰是一种反应。低温的时候是红外线,随着温度的上升,火焰从红色橙色(3000度)到黄色白色(4000度)到青色蓝色(5000~6000度)到紫色(7000以上)到最后看不见的紫外线(几万度),颜色在不断改变。从高能物理来说,红外线,有色光谱段的火焰都是低能量的火焰,温度继续高下去,火焰的颜色从紫外线到x线到伽马线等等,这些都是无法形容的“颜色”。

二是气态和等离子态物质的元素构成决定火焰的固有光谱,元素表的每种元素高温下都会发出自己特定的光色,常见的比如钠会出现黄色,钾是紫色,铜是绿色,化合物的光色是一种杂色,因为有许多种类的元素在发光。这也就是各种火焰的颜色不一样的缘故。(详见焰色反应)

举例

烃完全燃烧火焰温度的高低与燃烧热的大小有关,但也不是完全有关的.如,乙烯的燃烧热比乙炔的高.但是氧炔焰的温度比乙烯的高。

乙烯和乙炔燃烧的热化学方程式分别为:

燃烧热是乙烯>乙炔,但火焰温度是乙炔燃烧时高。乙炔在空气或氧气中燃烧,其火焰温度可高达3200℃以上。乙炔的燃烧热虽然比乙烷、乙烯等略低,但在完全燃烧时的耗氧量却最少,产生物中的水含量相对较低,水蒸发所需热量损耗较少,因此乙炔燃烧时能够得到更高的温度。

增加火焰温度

因火焰强度增加(即在较小的体积内释放出相同的总热量),以及氮气含量减少的结果,使火焰温度提高,从而增强了火焰靠辐射和对流向周围的热传导。据国外文献报道,燃烧重油时,如把空气中氧的浓度从21%增浓到22%,其理论燃烧温度可提高80℃。[3]

相关百科
返回顶部
产品求购 求购