 
                
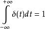
冲激函数的定义为:

通常,单位冲激函数 满足:
满足:
(1)当 时,
时,
(2)
单位冲激函数 又称Dirac函数或者
又称Dirac函数或者 函数。
函数。
注:单位冲激函数 并不是经典意义下的函数,而是一个广义函数(或者奇异函数),它不能用通常意义下的“值的对应关系”来理解和使用,而是通过它的性质来使用。[1]
并不是经典意义下的函数,而是一个广义函数(或者奇异函数),它不能用通常意义下的“值的对应关系”来理解和使用,而是通过它的性质来使用。[1]
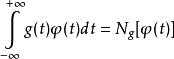
选择一类性能良好的函数 ,称为检验函数
,称为检验函数 (它相当于定义域),一个广义函数
(它相当于定义域),一个广义函数 对检验函数空间中的每个函数
对检验函数空间中的每个函数 赋予一个数值
赋予一个数值 的映射,该数与广义函数
的映射,该数与广义函数 和检验函数
和检验函数 有关,记作
有关,记作 。广义函数可写为
。广义函数可写为

冲击函数 与检验函数的作用效果是从
与检验函数的作用效果是从 中筛选出它在
中筛选出它在 时刻的函数值
时刻的函数值 ,这常称为冲击函数的取样性质(或筛选性质)。简言之,能从检验函数
,这常称为冲击函数的取样性质(或筛选性质)。简言之,能从检验函数 中筛选出函数值
中筛选出函数值 的广义函数就称为冲击函数
的广义函数就称为冲击函数 [1]。
[1]。
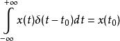
如果信号 是一个在
是一个在 处连续的普通函数,则有
处连续的普通函数,则有

上式表明,信号 与冲激函数相乘,筛选出连续时间信号
与冲激函数相乘,筛选出连续时间信号 在
在 时的函数值
时的函数值 ,可以理解为冲激函数在
,可以理解为冲激函数在 时刻对函数
时刻对函数 的一瞬间的作用,其值是冲激函数和
的一瞬间的作用,其值是冲激函数和 相乘的结果,瞬间趋于无穷大[3]。
相乘的结果,瞬间趋于无穷大[3]。
如果信号 是一个在
是一个在 处连续的普通函数,则有
处连续的普通函数,则有

冲激信号的取样特性表明,一个连续时间信号 与冲激函数相乘,并在时间域
与冲激函数相乘,并在时间域 上积分,其结果为信号
上积分,其结果为信号 在
在 时的函数值
时的函数值 。该式可以理解为冲激函数作用于函数
。该式可以理解为冲激函数作用于函数 ,趋于稳态时最终作用的结果,即得到信号
,趋于稳态时最终作用的结果,即得到信号 在
在 时刻的值
时刻的值 [3]。
[3]。
冲激函数的导数性质如下:
 其证明如下:
其证明如下:



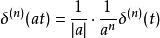
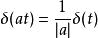
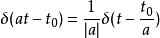
冲激函数的尺度变换性质如下:

其推论明如下:
(1)
(2)
(3) 当 时,
时,
(4) ,
, 为偶函数
为偶函数
(5) ,
, 为奇函数
为奇函数
冲激函数可用于信号处理,通过冲激函数来表示复杂的信号,可以简化对复杂信号的一些特性的研究。冲激函数及其延时冲激函数的线性组合来表示或逼近,再利用系统的迭加原理,可以通过简单的信号如单位冲激函数的频谱,以及频域特性来讨论比较复杂信号的频谱。从而减少计算复杂信号频谱的难度[1][1]。
 
         
         
 求购
    求购