代数方法

代数方法

目录导航

基本内容

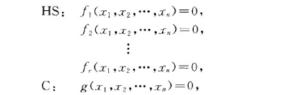
用代数方法证明几何定理,首先是由笛卡儿(Descartes , R.)于1637年提出的.后来希尔伯特(Hilbert, D.)又向前推进了一步,把这种方法对某一类命题算法化,从而开创了真正能用机械步骤推出一批几何定理的局面.代数方法本质上属于一类一证的方法,它适用于假设和结论能够用代数恒等式或代数不等式表达的命题的判定.通常,用HS记假设条件,C记命题的结论,f},fZ,...,f,} g记关于变元二,,二2,…,二。的多项式.如果

则命题HS}C的判定问题已被解决.代数方法是定理机器证明领域中20世纪70年代至80年代获得最成功的方法.

相关百科
返回顶部
产品求购 求购