 图1 水库上游末端异重流的形成在重力场中由于流体密度差异而产生的分层流动,又称密度流或重力流。气流或水流各部分温度不同,气流中挟带水气、尘埃及其他颗粒物,水流中挟带细粒泥沙或含有盐份等,都会产生流体密度差异而形成异重流。图1为水库上游末端形成的异重流。
图1 水库上游末端异重流的形成在重力场中由于流体密度差异而产生的分层流动,又称密度流或重力流。气流或水流各部分温度不同,气流中挟带水气、尘埃及其他颗粒物,水流中挟带细粒泥沙或含有盐份等,都会产生流体密度差异而形成异重流。图1为水库上游末端形成的异重流。
异重流可分双层体系和多层体系两类。在自然界中,异重流的表现形式有水库中的分层潜流,河流入海口盐水入侵淡水,大气中冷暖气流所形成的锋面等。对水流而言,引起密度差异的主要因素有:含沙量、水温、溶解质含量。由于水流挟带泥沙而形成的异重流称浑水异重流。流进水库的浑浊河水成舌状水流潜入库底,在水库清水之下沿库底向前运动,形成水库异重流;两河交汇,当各自水流含沙量不同时,可在汇合处产生分层运动现象,形成河道异重流。由于水流温度不同而引起的异重流称为温差异重流。进入湖泊(或水库)的冷河水,潜入湖底,形成下层异重流向前运动;火电厂的冷却水经冷凝器受热排入河流后,在较冷的河水上层沿程流动,形成上层异重流。由于水流含有盐分而形成的异重流称为盐水异重流。
在河口处,河水密度小于海水,河水在随潮流进入河口区的盐水的上层运动并以扇状向海面散布,保持相当长的距离形成淡水舌,而海水则侵入河底沿河道上溯,形成成层程度不同的异重流,明显分层时即为盐水楔运动 (见河口水流)。水在空气介质中的流动,因水与空气的密度相差很大,一般不属于异重流。
中文异重流一词最初出现在1947年出版的《水利》杂志中的《异重流及水库减淤》一文。1885年F.-A.福雷尔在法国科学院院报撰文,介绍了罗讷河河水进入日内瓦湖底产生分层流的现象和莱茵河流入康斯坦茨湖时,在入口处河水潜入湖底的现象,指出这些现象是由于河水温度较湖水温度低和含有泥沙所造成的。
19世纪末,瑞士学者观察到浑浊的低温河水潜入湖底形成潜流。20世纪20年代,开始用盐水代替密度较大的冷水进行水槽实验和用粘土浑水做水库异重流实验,实验结果指出通过底孔有可能把冷水及浑水排出库外。1935年,美国米德湖水库排出浑水,这个现象表明浑水进库可在库底持续运行百余公里,再排出库外。于是,异重流现象引起有关学科学者的重视。40年代,美国开始在实验室和水库进行实验和观测。1953年起,中国学者首先在官厅水库进行观测,后来在三门峡等水库进行实验,并且在室内进行试验研究,探索利用异重流的规律以排泄泥沙出库。50年代和60年代,中国先后进行了异重流的观测、分析和实验。70年代中国在水库和河道中观测到高浓度(含沙量大于200~300千克/米)异重流现象。
异重流的基本方程是以流体力学的基本方程为基础导出的。现以最简单的恒定的均匀底层流作为说明。当底层水流受到底部边界和可 动交界面的剪切阻力和由于密度差而产生的重力作用互相平衡时,沿着底坡即可形成恒定的均匀异重流(图2)。对于二元水流,平衡方程式为: (1)
(1)
式中△ρ为两层流体的密度差;d为下层流体的水深;S为河床坡降; 和
和 为底部和交界面的剪切应力。设
为底部和交界面的剪切应力。设 ,a随着底部和交界面之间最大流速的位置而变化,消去式(1)中的,即得:
,a随着底部和交界面之间最大流速的位置而变化,消去式(1)中的,即得: (2)如用适用于层流和湍流的摩阻公式来表示,则为:
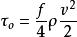
(2)如用适用于层流和湍流的摩阻公式来表示,则为: ,式中f为常用的达西-魏斯巴赫摩擦系数(见管流)。由式(2)、(3)得异重流的平均流速为:
,式中f为常用的达西-魏斯巴赫摩擦系数(见管流)。由式(2)、(3)得异重流的平均流速为:

式(4)和谢才公式的通用形式完全一致。但要把式(4)中的f改为f(1+a),这是因为增加了交界面的阻力;更为重要的是把g要改为 ,这是因为下层流体的有效重力显著减小的缘故,经过上述修正,许多明槽水流运动公式,都可以应用于异重流。
,这是因为下层流体的有效重力显著减小的缘故,经过上述修正,许多明槽水流运动公式,都可以应用于异重流。
流速很低的异重流分界面是清晰的。在分界面,流体密度是突变的,而流速则是连续变化的。当两层流体的相对流速增加时,分界面会形成波浪;当这种流速达到临界值时,分界面波浪会发生周期性的破碎,开始出现掺混。美国G. H. 科立根于1949年获得稳定参数或掺混判别式:

对于层流,美国A.T.伊彭和D.R.F.哈勒曼于1952年通过试验方法确定,水流处于临界水深,即Fr=1时(见无压流),就发生掺混。
对于湍流,科立根1949年确定发生掺混的临界值θcr=0.18,根据式(5)计算出的值小于就发生掺混。
应用流体力学的原理和方法探讨异重流形成、运动等问题的力学机理和计算方法,最新研究着眼于建立异重流的各种数学模型
通过水槽试验和模型试验,不仅可为理论分析提供定量数据,也是解决工程中异重流课题的重要手段,模型律问题是进行异重流实验的关键问题
实地观测不仅可验证理论分析与实验研究的结论,还可为异重流研究不断提出新的课题。三种方法的结合使下列问题的研究已取得了一定的进展:射流在有密度梯度的介质中的机理、影响交界面阻力的因子、异重流的不恒定运动、河口含盐浑水在潮汐水流中形成异重流的条件、界面液体交换问题等。
利用异重流特性,在水库减淤,给水排水工程设计与运用等方面可获得很大效益。在多沙河流上修建蓄水水库和水电站时,设置底孔,合理运用在库底运动的浑水异重流可把泥沙排走,减少水库淤积,是水库减淤的主要措施;在给水工程中,根据异重流特性设计沉淀池,有利泥沙落淤,可获得较好的水质;修建火电厂可利用温差异重流特性,设置较深的取水孔引取冷水,而设置较高的排水孔排放热水。但在某些情况下,异重流可带来很大危害。在河口形成的盐水楔往往阻碍上游来沙的下泄,并把海域泥沙带入河口,形成含沙量高的滞流区和拦门沙;在与河道交叉的引水渠或引航道处,浑浊河水可潜入引水渠或引航道,并向渠首内溯,而渠内清水自表层向大河回流,造成严重淤积等。[1]
几十年来发表的异重流文献很多,但还有不少问题需要进一步研究。主要有:①交界面的掺混交换机理。具有不同性质物理量的清浑水、冷热水、冷热气流、含盐浑水和含盐清水,它们之间的传递机理不同,也影响到交界面的阻力。②不恒定异重流。自然界的异重流大多属于不恒定流,洪峰期间进入水库的浑水、河口含泥盐水形成的楔形底流在潮汐作用下的运动规律都不能忽视惯性力的作用。从发展情况看,数学力学分析和计算,结合室内实验和野外观测,都是解决实际问题不可缺少的途径。
1.钱宁等编著:《异重流》,水利出版社,北京,1957。
2.V.A.范诺尼主编,黄河水利委员会科学研究所、长江水利水电科学研究院等泽:《泥沙工程》,水利出版社,北京,1981。(V. A. Vauoni,ed.,Sedimentation Engineering, Amer.Soc. of Civil Engrs.,New York,1975.
 
         
         
 求购
    求购