 
                
有两个与能量 和
和 相对应的能级1和2,在它们之间可以实现微波激射效应(下图a)。在给定的时刻还存在热力学平衡,系统由麦克斯韦—玻耳兹曼分布描写。这就是说,
相对应的能级1和2,在它们之间可以实现微波激射效应(下图a)。在给定的时刻还存在热力学平衡,系统由麦克斯韦—玻耳兹曼分布描写。这就是说, 个分子处于能态1,
个分子处于能态1, 个分子处于能态2,且
个分子处于能态2,且 。在下图(a)上,
。在下图(a)上, 和
和 用符号(小圆圈)加以表明。
用符号(小圆圈)加以表明。
 具有两个能级的六子分子组成的系统分布变化
具有两个能级的六子分子组成的系统分布变化
如果符合条件 的三个电磁辐射的能量子不破坏平衡,这个状态就永久地维持下去。由图可见,两个分子吸收了两个量子,而跃迁到受激态;也就是说,它们已从能级1跃迁到能级2。根据爱因斯坦的假设,伴有受激辐射的逆跃迁2→1具有同样的几率,但因
的三个电磁辐射的能量子不破坏平衡,这个状态就永久地维持下去。由图可见,两个分子吸收了两个量子,而跃迁到受激态;也就是说,它们已从能级1跃迁到能级2。根据爱因斯坦的假设,伴有受激辐射的逆跃迁2→1具有同样的几率,但因 ,故只发生一次受激发射。经过这两个过程,进入系统的三个量子只有两个放出去,所以系统将吸收辐射。当分子系统受到足够强的光照时,两个能级1和2的粒子数相同,跃迁1→2和2→1的数目相等,这时吸收对发射不占优势,介质对该辐射而言是透明的(上图(b))。
,故只发生一次受激发射。经过这两个过程,进入系统的三个量子只有两个放出去,所以系统将吸收辐射。当分子系统受到足够强的光照时,两个能级1和2的粒子数相同,跃迁1→2和2→1的数目相等,这时吸收对发射不占优势,介质对该辐射而言是透明的(上图(b))。
如上图(c)所示,这只有在下述情况下才能获得 的状态:受激发射动作对吸收动作占有优势;量子数增大,因而产生微波激射效应。
的状态:受激发射动作对吸收动作占有优势;量子数增大,因而产生微波激射效应。
因此,想在热力学平衡的条件下进一步提高辐射强度(即增大量子数)是不可能的,因为受激跃迁1→2和2→1的几率相同,而能级的粒子数又不处于反转的情况,所以,必须有一种外力的作用,迫使平衡向2的粒子数较大的方向移动,从而达到能量较高的分子数 大于能量较低的分子数
大于能量较低的分子数 。
。
晶体可以用于作微波放大器和光放大器以及作相干辐射源,微波发射器通过辐射的受激发射,把微波放大;激光器通过同样的途径把光放大。可以借助下图中的二能级磁性系统,去了解Townes所阐明的原理。
 解释微波激射器工作的二能级系统
解释微波激射器工作的二能级系统
高能态中有 个原子,低能态中有
个原子,低能态中有 个原子,把系统放在频率为
个原子,把系统放在频率为 的辐射中,辐射场磁分量的振幅为
的辐射中,辐射场磁分量的振幅为 ,单位时间里一个原子在高低能态之间跃迁的几率是:
,单位时间里一个原子在高低能态之间跃迁的几率是:
 式中,
式中, 是磁矩,
是磁矩, 是二能级的组合宽度。上式是根据根据量子力学的一个标准结果,即所谓的费密黄金定则(Fermi golden rule)得出,单位时间内,由于高低能态之间的原子跃迁所发射的净能量为:
是二能级的组合宽度。上式是根据根据量子力学的一个标准结果,即所谓的费密黄金定则(Fermi golden rule)得出,单位时间内,由于高低能态之间的原子跃迁所发射的净能量为:
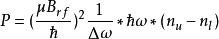
 这里P表示功率输出,
这里P表示功率输出, 是一个光子的能量,
是一个光子的能量, 是在开始的时候能够发射光子的原子数
是在开始的时候能够发射光子的原子数 超出能够吸收光子的原子数
超出能够吸收光子的原子数 的余额,热平衡时,
的余额,热平衡时, 所以不可能得到辐射的净发射,但是在满足
所以不可能得到辐射的净发射,但是在满足 的非平衡条件下会出现发射。事实上,如果从
的非平衡条件下会出现发射。事实上,如果从 开始,并且将发射的辐射反射回系统中,这样就加大了
开始,并且将发射的辐射反射回系统中,这样就加大了 ,因而激励起更高的发射速率。激励继续增强,知道高能态的布居数减少至等于低能态的布居数为止。
,因而激励起更高的发射速率。激励继续增强,知道高能态的布居数减少至等于低能态的布居数为止。
微波激射器是在共振原子或分子系统中利用激发能量以得到电磁波相干放大或产生电磁波的器件。这种器件利用原子或分子的不稳定粒子系综,该系综受电磁波激励可以辐射出额外的能量,且辐射波与激励波的频率和相位都相同,这样就提供了相干放大。然而,微波激射器不仅局限在微波区域,这种类型的放大已扩展到从声频到红外和光频的频率范围。因为微波激射器涉及分子尺度的过程,还因为某些类型的微波激射器不能用经典力学恰当地描述,而表现出量子力学特有的现象,所以,微波激射器型的放大器与振荡器有时也称为分子或量子放大器与振荡器。
微波激射放大器的噪声之低是罕见的,在微波区域接近于有效地放大单个辐射量子,也就是说,这种放大器能达到测不准原理对放大一束波的相位和能量时所确定的精度极限。微波激射振荡器固有的低噪声使得这种利用很窄的原子或分子共振的振荡器单色性非常好,提供了频率标准的基础。因为原子或分子在直至很短波长的很宽的频率范围内,都可以产生共振和有效的放大,因此在老式电路元件不太有效的毫米波、红外、可见光、甚至紫外波段,微波激射器用作相干放大器是十分有用的。
 
         
         
 求购
    求购