分子间作用力

分子间作用力

目录导航

氢键

氢键属不属于分子间作用力,取决于对“分子间作用力”的定义。按照广义范德华力定义[引力常数项可将各种极化能(偶极(dipole)、诱导(induced)和氢键能)归并为一项来计算],氢键属于分子间作用力。按照传统定义:分子间作用力定义为:“分子的永久偶极(permanent dipole)和瞬间偶极(instantaneous dipole)引起的弱静电相互作用”那么氢键不属于(因为氢键至少包含四种相互作用,只有三种与分子间作用力有交集,但还存在最高被占用轨道与另一分子最低空余轨道发生轨道重叠)。

氢键既可以存在于分子内也可以存在于分子间。其次,氢键与分子间作用力的量子力学计算方法也是不一样的。另外,氢键具有较高的选择性,不严格的饱和性和方向性;而分子间作用力不具有。在“折叠体化学”中,多氢键具有协同作用,诱导线性分子螺旋,而分子间作用力不具有协同效应。超强氢键具有类似共价键(covalent bond)本质,在学术上有争议,必须和分子间作用力加以区分。

若错误的将分子间作用力、氢键、卤键看成等同作用,那么分子识别、DNA结构模拟、蛋白质结构堆积,就根本不可能研究了。所以在学术上,这些电磁互作用都统称为次级键。

作用力分类

定义:范德华力(又称分子作用力)产生于分子或原子之间的静电相互作用。其能量计算的经验方程为:U =B/r12- A/r6(对于2 个碳原子间,其参数值为B =11.5 ×10-6kJ·nm12/mol ;A=5.96 × 10-3kJnm^6/mol;不同原子间A、B 有不同取值)当两原子彼此紧密靠近电子云相互重叠时,发生强烈排斥,排斥力与距离12 次方成反比。图中低点是范德华力维持的距离作用力最大,称范德华半径。分子引力与距离6次方成反比,分子斥力与距离12次方成反比。

范德华力又可以分为三种作用力:诱导力、色散力和取向力。

色散力

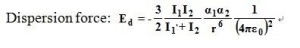
色散力色散力色散力(dispersion force 也称“伦敦力”)所有分子或原子间都存在。是分子的瞬时偶极间的作用力,即由于电子的运动,瞬间电子的位置对原子核是不对称的,也就是说正电荷重心和负电荷重心发生瞬时的不重合,从而产生瞬时偶极。色散力和相互作用分子的变形性有关,变形性越大(一般分子量愈大,变形性愈大)色散力越大。色散力和相互作用分子的电离势(即为电离能)有关,分子的电离势越低(分子内所含的电子数愈多),色散力越大。色散力的相互作用随着1/r6而变化。其公式为:I1和I2分别是两个相互作用分子的电离能,α1和α2是它们的极化率。

诱导力

括号里取平方括号里取平方诱导力(induction force)在极性分子和非极性分子之间以及极性分子和极性分子之间都存在诱导力。由于极性分子偶极所产生的电场对非极性分子发生影响,使非极性分子电子云变形(即电子云被吸向极性分子偶极的正电的一极),结果使非极性分子的电子云与原子核发生相对位移,本来非极性分子中的正、负电荷重心是重合的,相对位移后就不再重合,使非极性分子产生了偶极。这种电荷重心的相对位移叫做“变形”,因变形而产生的偶极,叫做诱导偶极,以区别于极性分子中原有的固有偶极。诱导偶极和固有偶极就相互吸引,这种由于诱导偶极而产生的作用力,叫做诱导力。在极性分子和极性分子之间,除了取向力外,由于极性分子的相互影响,每个分子也会发生变形,产生诱导偶极。其结果使分子的偶极距增大,既具有取向力又具有诱导力。在阳离子和阴离子之间也会出现诱导力。

诱导力与极性分子偶极矩的平方成正比。诱导力与被诱导分子的变形性成正比,通常分子中各原子核的外层电子壳越大(含重原子越多)它在外来静电力作用下越容易变形。相互作用随着1/r6而变化,诱导力与温度无关。其公式:α为极化率。

取向力

取向力(orientation force 也称dipole-dipole force)取向力发生在极性分子与极性分子之间。由于极性分子的电性分布不均匀,一端带正电,一端带负电,形成偶极。因此,当两个极性分子相互接近时,由于它们偶极的同极相斥,异极相吸,两个分子必将发生相对转动。这种偶极子的互相转动,就使偶极子的相反的极相对,叫做“取向”。这时由于相反的极相距较近,同极相距较远,结果引力大于斥力,两个分子靠近,当接近到一定距离之后,斥力与引力达到相对平衡。这种由于极性分子的取向而产生的分子间的作用力,叫做取向力。取向力与分子的偶极矩平方成正比,即分子的极性越大,取向力越大。取向力与绝对温度成反比,温度越高,取向力就越弱关相互作用随着1/r6而变化。其公式为:μ1,μ2为两个分子的偶极矩;r为分子质心间的距离,k为Boltzmann 常数,T为热力学温度,负值表示能量降低。

取向力公式取向力公式

三种力的关系

极性分子与极性分子之间,取向力、诱导力、色散力都存在;极性分子与非极性分子之间,则存在诱导力和色散力;非极性分子与非极性分子之间,则只存在色散力。这三种类型的力的比例大小,决定于相互作用分子的极性和变形性。极性越大,取向力的作用越重要;变形性越大,色散力就越重要;诱导力则与这两种因素都有关。但对大多数分子来说,色散力是主要的。实验证明,对大多数分子来说,色散力是主要的;只有偶极矩很大的分子(如水),取向力才是主要的;而诱导力通常是很小的。极化率α反映分子中的电子云是否容易变形。虽然范德华力只有0.4—4.0kJ/mol,但是在大量大分子间的相互作用则会变得十分稳固。比如C—H 在苯中范德华力有7 kJ/mol,而在溶菌酶和糖结合底物范德华力却有60kJ/mol,范德华力具有加和性。

分子作用力、离子键、盐键、共价键都是静电引力为什么差距这么大?

所以真正关键词是“距离”,我们可以把分子作用力、离子键放在一起考虑。

作用类型 能量和距离关系
荷电基团静电作用 1/r
离子—偶极子 1/r2
离子—诱导偶极 1/r4
偶极子—偶极子 1/r6取向力化学
偶极子—诱导偶极子 1/r6诱导力
诱导偶极子-诱导偶极子 1/r6色散力
非键排斥 1/r12—1/r6

在中学里学过离子键,以及NaCl、CsCl、CaF2、立方ZnS、六方ZnS、金红石TiO2这六种典型化合物的晶体构型,是强作用力。

ATP 和镁离子相互作用ATP 和镁离子相互作用在生物学中重点是了解有机分子的离子相互作用。有机分子形成的离子,电负性差异没有那么大,相互作用不像这些典型的离子化合物离子键这样大,所以就称为离子相互作用;但他们的共同点都是靠静电引力做形成。对的。

NaCl、CsCl、CaF2、立方ZnS、六方ZnS、金红石TiO2这六种典型化合物的晶体构型其离子键能量是和距离一次方成反比,Mg2+和ATP 的相互作用,氨基酸两性离子间的相互作用。离子—偶极子是随距离二次方而减小,离子—诱导偶极子是随距离4次方而减小。所以生物分子中的离子相互作用(也称盐键)是弱相互作用,是随1/r2—1/r4而减小。

而范德华力包括引力和斥力,引力和距离的6次方成反比,排斥力与距离的12次方成反比。他们都是静电力在不同层次的涌现。

相关概念辨析

作用类型 能量和距离关系
荷电基团静电作用 1/r
离子—偶极子 1/r2
离子—诱导偶极 1/r4
偶极子—偶极子 1/r6取向力化学
偶极子—诱导偶极子 1/r6诱导力
诱导偶极子-诱导偶极子 1/r6色散力
非键排斥 1/r12—1/r6

相关实验

词条被修改62次在于,不同笔者对氢键与分子间作用力从属关系的争论。

传统定义,将分子间作用力定义为:“分子的永久偶极和瞬间偶极引起的弱静电相互作用”。随着研究的深入,发现了许多用现有分子间作用力的作用机理无法说明的现象。比如卤键,有机汞卤化物时观察到分子内卤素原子与汞原子之间存在长距离强的共价相互作用力,从而引入二级价键力(secondary valence forces)的概念。

现在学术上,已经不再用“分子间作用力”来涵盖全部的弱相互作用,而是用更准确术语“次级键”。氢键、范德华力、盐键、疏水作用力、芳环堆积作用、卤键都统称为“次级键”。

氢键是否属于分子间作用力取决于对”分子间作用力“的定义。如果“分子间作用力”继续被狭义指代“分子的永久偶极和瞬间偶极引起的弱静电相互作用”。这样氢键与分子间作用力性质也不完全相同,量子力学计算方法也不完全同……,更像并列关系,氢键就不属于分子间作用力。而我们国内普通化学教材、百科大辞典等,就是这个定义,就是狭义指代范德华力。

如果”分子作用力“定义指代一切分子的相互作用(这个定义也包括了长程和短程的相互作用),那么氢键也属于分子间作用力,不仅氢键属于,离子键力也属于分子间作用力。《高分子界面科学》一书,张开教授认为引力常数项可将各种极化能(偶极、诱导和氢键能)归并为一项来计算从这一角度出发,范德华力偶极矩相互作用系数可扩大范围写成静电相互作用系数。这样得到了关于静电力的广义范德华力。这样分子间相互作用的分类一些文献也有报道。《流体的热物理化学性质—对应态原理及其应用》作者项红卫教授认为分子作用势能的三个类型统称范德华力,包括定向力、诱导力和色散力,定向力来源于偶极矩产生的引力包括电荷、偶极和四级矩其相互作用由玻尔兹曼权重因子按1/kT幂指数展开可得到平均势能函数。电荷、偶极和四级矩这些类型的相互作用十分相似均可认为服从Berthelot规律。由于色散力不会产生诱导作用,实际诱导相互作用按静电力比例修正。

张季爽和申成对于HF量子计算表明,氢键的形成至少四种不同类型的相互作用,1.HF偶极矩的取向力;2.HF分子最高被占用轨道与另一分子最低空余轨道发生轨道重叠和电荷转移作用,即类共价键。3,分子间电子云的排斥作用。4.分子间的诱导偶极作用,非常微弱。氢键的本质也是静电相互作用,主要是偶极作用能和静电作用能近似可以用广义范德华力计算式计算,氢键作用是氢键力的几何平均值服从Berthelot规律。

由此来看,氢键包含分子间作用力“集合所构成的”元素,两个集合无交集。但是氢键还具有它所不具有的特征轨道重叠与电荷转移。

超强氢键具有类似共价键本质,在学术上有争议,必须和分子间作用力加以区分。

很多弱相互作用,既存在于分子内又存在于分子间(从量子化学角度来看);而且可以向化学键转化。所以笔者建议用更严格的词汇统称为“次级键”,而不再用分子间作用力来涵盖全部的弱相互作用。

另外,由于存在争议,其从属概念的辨析取决于对”分子间作用“的基本定义。而加州大学伯克利分校的John M. Prausnitz指出:”我们对分子间作用力认识远远不够,目前只局限于简单理想情况“。 笔者认为因此在基础教育,比如中学教育,不必严格区分从属关系,重点在于了解性质。无论说氢键属于或不属于分子间作用力都不算错误。要将分子间作用力和氢键概念的辨析从属关系的考试题可以从考试中剔除(考谁属于谁是没有意义的),可以休矣!学生更重要的在于了解,氢键的特性以及几何平均关系、不严格饱和性和方向性、熔沸点、溶解度影响、稳定性以及π氢键等等。因为我们对分子间作用力认识远远不够……

相关百科
返回顶部
产品求购 求购