含有两个未知数,并且含有未知数的项的次数都是1的整式方程叫做二元一次方程,可化为ax+by+c=0(a、b≠0)的一般式与ax+by=c(a、b≠0)的标准式。
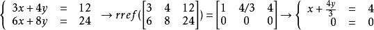
使用克莱姆规则

这种方法适合笔算,速度比较快,运算简单,不容易出错
适合一个二元一次方程的每一对未知数的值,叫做这个二元一次方程的一个解。对于任何一个二元一次方程,令其中一个未知数取任意一个值,都能求出与它对应的另一个未知数的值。因此,任何一个二元一次方程都有无数多个解,由这些解组成的集合,叫做这个二元一次方程的解集。[3]
例如,二元一次方程:
,解有无数个
当
时,![]()
当
时,![]()
...
当
时,
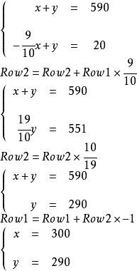
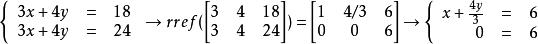
二元一次方程组的解
可以使用方程系数的矩阵行最简式来判断和求解
二元一次方程组中各个方程的公共解,叫做一组二元一次方程组的解。二元一次方程组通常有唯一解,但有时有无数解,有时无解,例如
有唯一解:
可以判断方程有唯一解
有无数解:
可以判断方程有无数个解
无解:
可以判断方程无解
整数解:二元一次方程的整数解就是一个二元一次方程的解均为整数的解。
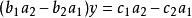
一般解推导:设方程组
,(
)求解该方程组的解。
将方程组变形,得到:
![]()
![]()
两式相减,得:![]()
(1)若
,则移相,得:
![]()
将
代入
中,求得:
(2)若
且
,则y有无数解,故方程组有无数解。
(3)若
且
,则y无解,故方程组无解。
“消元”是解二元一次方程组的基本思路。所谓“消元”就是减少未知数的个数,使多元方程最终转化为一元多次方程再解出未知数。这种将方程组中的未知数个数由多化少,逐一解决的解法,叫做消元解法。[4]
消元方法一般分为:代入消元法,简称:代入法 ;加减消元法,简称:加减法 ;顺序消元法 ;整体代入法。
将方程组中一个方程的某个未知数用含有另一个未知数的代数式表示出来,代入另一个方程中,消去一个未知数,得到一个一元一次方程,最后求得方程组的解,这种解方程组的方法叫做代入消元法。
用代入消元法解二元一次方程组的一般步骤:
(1)等量代换:从方程组中选一个系数比较简单的方程,将这个方程中的一个未知数(例如y),用另一个未知数(如x)的代数式表示出来,即将方程写成y=ax+b的形式;
(2)代入消元:将y=ax+b代入另一个方程中,消去y,得到一个关于x的一元一次方程;
(3)解这个一元一次方程,求出x的值;
(4)回代:把求得的x的值代入y=ax+b中求出y的值,从而得出方程组的解;
(5)把这个方程组的解写成
的形式.
例如:解方程组

可以判断方程有唯一解
消元法详细过程如下:

解:
对方程进行标号:
①
②
由②得:
③
把③代入①得:

化简得:

将
代入①中,得:
故原方程组的解为:
当方程中两个方程的某一未知数的系数相等或互为相反数时,把这两个方程的两边相加或相减来消去这个未知数,从而将二元一次方程化为一元一次方程,最后求得方程组的解,这种解方程组的方法叫做加减消元法。
用加减消元法解二元一次方程组的一般步骤:
(1)变换系数:利用等式的基本性质,把一个方程或者两个方程的两边都乘以适当的数,使两个方程里的某一个未知数的系数互为相反数或相等;
(2)加减消元:把两个方程的两边分别相加或相减,消去一个未知数,得到一个一元一次方程;
(3)解这个一元一次方程,求得一个未知数的值;
(4)回代:将求出的未知数的值代入原方程组的任何一个方程中,求出另一个未知数的值;
(5)把这个方程组的解写成
的形式.
例如:解方程组
解:对方程进行标号:
①
②
由②得:
③
①-③,得:
,
将
代入①中,得:
故原方程组的解为:
解一些复杂的问题,常用到换元法,即对结构比较复杂的多项式,若把其中某些部分看成一个整体,用新字母代替(即换元),则能使复杂的问题简单化,明朗化。该方法在减少多项式项数,降低多项式结构复杂程度等方面能起到独到作用。
例如:解方程
可以判断方程有唯一解(1,6)
解:设
原方程组可变为
运用加减法可解得:
所以
所以
是原方程组的解.
特点:两方程中都含有相同的代数式,如题中的x+5,y-4之类,换元后可简化方程。
1)A、B两地相距500千米,甲、乙两车由两地相向而行,若同时出发则5小时相遇;若乙先出发5小时,则甲出发后3小时与乙相遇。求甲乙两车速度。
解: 设甲车速度为X km/h,乙车速度为Y km/h,列方程

可以判断方程有唯一解(60,40)
解得
答:甲车速度为60km/h,乙车速度为40km/h。
2)两个物体在周长等于100米的圆上运动,如果同向运动,那么它们每隔20秒相遇一次;如果相向运动,那么它们每隔5秒相遇一次。求每个物体的速度。
解:设速度快的速度为Xm/s,慢的为Y m/s,列方程

可以判断方程有唯一解(25/2,15/2)
解得
答:速度快的为12.5m/s,速度慢的为7.5m/s。
求购