基尔霍夫(电路)定律是求解复杂电路的电学基本定律。在19世纪40年代,由于电气技术发展的十分迅速,电路变得愈来愈复杂。某些电路呈现出网络形状,并且网络中还存在一些由3条或3条以上支路形成的交点 (节点)。这种复杂电路不是串、并联电路的公式所能解决的,刚从德国哥尼斯堡大学毕业,年仅21岁的基尔霍夫(Gustav Robert Kirchhoff,1824~1887),1845年,在他的第1篇论文中提出了适用于这种网络状电路计算的两个定律,即著名的基尔霍夫定律。该定律能够迅速地求解任何复杂电路,从而成功地解决了这个阻碍电气技术发展的难题。[2]
基尔霍夫定律包括基尔霍夫第一定律和基尔霍夫第二定律,其中基尔霍夫第一定律即为基尔霍夫电流定律,简称KCL;基尔霍夫第二定律则称为基尔霍夫电压定律,简称KVL。
基尔霍夫电流定
律表明:[3]
或者,更详细描述为:
以方程表达,对于电路的任意节点满足:
![]()
其中,ik是第 k 个进入或离开这节点的电流,是流过与这节点相连接的第 k 个支路的电流,可以是实数或复数。[4]
由于累积的电荷(单位为库仑)是电流(单位为安培)与时间(单位为秒)的乘积,从电荷守恒定律可以推导出这条定律。其实质是稳恒电流的连续性方程,即根据电荷守恒定律,流向节点的电流之和等于流出节点的电流之和。
思考电路的某节点,跟这节点相连接有 n 个支路。假设进入这节点的电流为正值,离开这节点的电流为负值,则经过这节点的总电流 i 等于流过支路 k 的电流ik的代数和:
![]()
将这方程积分于时间,可以得到累积于这节点的电荷的方程:
![]()
其中,
是累积于这节点的总电荷,
是流过支路 k的电荷,t0是检验时间,t 是积分时间变量。
假设 q>0 ,则正电荷会累积于节点;否则,负电荷会累积于节点。根据电荷守恒定律,q 是个常数,不能够随着时间演进而改变。由于这节点是个导体,不能储存任何电荷。所以,q=0 、i=0 ,基尔霍夫电流定律成立:
![]()
从上述推导可以看到,只有当电荷量为常数时,基尔霍夫电流定律才会成立。通常,这不是个问题,因为静电力相斥作用,会阻止任何正电荷或负电荷随时间演进而累积于节点,大多时候,节点的净电荷是零。
不过,电容器的两块导板可能会允许正电荷或负电荷的累积。这是因为电容器的两块导板之间的空隙,会阻止分别累积于两块导板的异性电荷相遇,从而互相抵消。对于这状况,流向其中任何一块导板的电流总和等于电荷累积的速率,而不是零。但是,若将位移电流纳入考虑,则基尔霍夫电流定律依然有效。只有当应用基尔霍夫电流定律于电容器内部的导板时,才需要这样思考。若应用于电路分析(circuit analysis)时,电容器可以视为一个整体元件,净电荷是零,所以原先的电流定律仍适用。
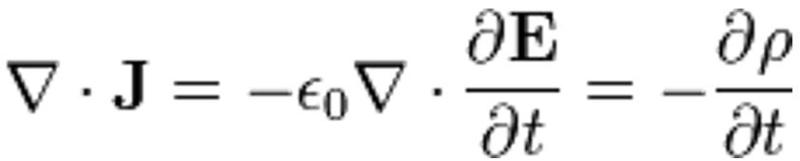
由更技术性的层面来说,取散度于麦克斯韦修正的安培定律,然后与高斯定律相结合,即可得到基尔霍夫电流定律:

其中,J 是电流密度,
是电常数,E 是电场,ρ 是电荷密度。
这是电荷守恒的微分方程。以积分的形式表述,从封闭表面流出的电流等于在这封闭表面内部的电荷 Q 的流失率:

基尔霍夫电流定律等价于电流的散度是零的论述。对于不含时电荷密度,该定律成立。对于含时电荷密度,则必需将位移电流纳入考虑。[4]
基尔霍夫定律建
立在电荷守恒定律、欧姆定律及电压环路定理的基础之上,在稳恒电流条件下严格成立。当基尔霍夫第一、第二方程组联合使用时,可正确迅速地计算出电路中各支路的电流值。由于似稳电流(低频交流电) 具有的电磁波长远大于电路的尺度,所以它在电路中每一瞬间的电流与电压均能在足够好的程度上满足基尔霍夫定律。因此,基尔霍夫定律的应用范围亦可扩展到交流电路之中。[2]
虽然物理定律不
是随便就可以推翻的,但是它们有时也需要修正。美国伊利诺斯大学电子和计算机工程教授米尔顿·冯和小尼克·侯隆亚克等研究人员通过开发出的三端口晶体管激光器(three-port transistor laser),对基尔霍夫电流定律进行了修正。
伊利诺斯大学研究人员通过使用量子阱修改基区和谐振器的外形,把晶体管的工作方式由自发发射转变为受激发射。晶体管复合工艺的改变使器件特性发生了变化,使其具有一种基本的、潜在的接近激光器阈值的可用的非线性特性。三端口晶体管激光器通过把电输入信号转变为两个输出信号——一个电信号和一个光信号,从而提供了新的信号混合和开关能力,把晶体管和激光器的功能结合了起来。
但是,新增加的光输出第三端口带来了意想不到的难题,即在两种能量输出形式并存的情况下如何运用电荷守恒定律和能量守恒定律。
冯教授表示:“我们对此感到困惑。它是如何工作的?它是否违背了基尔霍夫定律?定律又如何适用于光子或光信号输出的?”
侯隆亚克教授说:“光信号与电信号相连和相关,但在晶体管激光器中光信号和电信号的关系则被解除。基尔霍夫定律照顾到了电荷平衡,却没有照顾到能量平衡。由此带来的问题是,如何将该定律适用于所有情况,并以电路的语言将其表达出来。”
最终,三端口晶体管激光器所表现的特性促使研究人员对基尔霍夫定律进行了再检验和修正,以使其能适用于解释电子和光子,从而有效地将电流定律扩展为电流—能量定律。在2010年5月10日的《应用物理杂志》网络版上,研究人员发表了有关的模型和支持数据。冯教授表示,过去的定律仅与从给定节点流出的电子相关,从不涉及能量守恒的问题。他说:“这是我们首次看到能量是如何参与到守恒过程中的。”
基于修正定律的计算机模型与从三端口晶体管激光器收集的数据相符,可非常精确地预测出集成电路的频宽、速度和其他特性。通过研究三端口晶体管激光器中电子、光子和半导体的行为,研究人员将可开发出该器件在高速信号处理、集成电路、光通信及超级计算中的多种应用。[5]
求购