向量

向量

中文名 向量
别称 矢量
适用领域范围 数学中的平面向量、计算机赋值向量
目录导航

发展历史

向量向量向量,最初被应用于物理学。很多物理量如力、速度、位移以及电场强度、磁感应强度等都是向量。大约公元前350年前,古希腊著名学者亚里士多德就知道了力可以表示成向量,两个力的组合作用可用著名的平行四边形法则来得到。“向量”一词来自力学、解析几何中的有向线段。最先使用有向线段表示向量的是英国大科学家牛顿。

从数学发展史来看,历史上很长一段时间,空间的向量结构并未被数学家们所认识,直到19世纪末20世纪初,人们才把空间的性质与向量运算联系起来,使向量成为具有一套优良运算通性的数学体系。

向量能够进入数学并得到发展,首先应从复数的几何表示谈起。18世纪末期,挪威测量学家威塞尔首次利用坐标平面上的点来表示复数a+bi(a,b为有理数,且不同时等于0),并利用具有几何意义的复数运算来定义向量的运算。把坐标平面上的点用向量表示出来,并把向量的几何表示用于研究几何问题与三角问题。人们逐步接受了复数,也学会了利用复数来表示和研究平面中的向量,向量就这样平静地进入了数学中。

但复数的利用是受限制的,因为它仅能用于表示平面,若有不在同一平面上的力作用于同一物体,则需要寻找所谓三维“复数”以及相应的运算体系。19世纪中期,英国数学家哈密尔顿发明了四元数(包括数量部分和向量部分),以代表空间的向量。他的工作为向量代数和向量分析的建立奠定了基础.随后,电磁理论的发现者,英国的数学物理学家麦克斯韦把四元数的数量部分和向量部分分开处理,从而创造了大量的向量分析。

三维向量分析的开创,以及同四元数的正式分裂,是英国的居伯斯和海维塞德于19世纪80年代各自独立完成的。他们提出,一个向量不过是四元数的向量部分,但不独立于任何四元数。他们引进了两种类型的乘法,即数量积和向量积。并把向量代数推广到变向量的向量微积分.从此,向量的方法被引进到分析和解析几何中来,并逐步完善,成为了一套优良的数学工具。

表达方式

代数表示

一般印刷用黑体的小写英文字母(abc等)来表示,手写用在a、b、c等字母上加一箭头(→)表示,如,也可以用大写字母AB、CD上加一箭头(→)等表示,如,

几何表示

向量表示向量表示向量可以用有向线段来表示。有向线段的长度表示向量的大小,向量的大小,也就是向量的长度。长度为0的向量叫做零向量,记作长度等于1个单位的向量,叫做单位向量。箭头所指的方向表示向量的方向。

坐标表示

向量的坐标表示向量的坐标表示在平面直角坐标系中,分别取与x轴、y轴方向相同的两个单位向量i,j作为一组基底。为平面直角坐标系内的任意向量,以坐标原点O为起点作向量。由平面向量基本定理可知,有且只有一对实数(x,y),使得,因此把实数对叫做向量的坐标,记作。这就是向量的坐标表示。其中就是点的坐标。向量称为点P的位置向量。

在空间直角坐标系中,分别取与x轴、y轴,z轴方向相同的3个单位向量i,j,k作为一组基底。若为该坐标系内的任意向量,以坐标原点O为起点作向量。由空间基本定理知,有且只有一组实数,使得,因此把实数对叫做向量的坐标,记作)。这就是向量的坐标表示。其中,就是点P的坐标。向量称为点P的位置向量。

当然,对于多维的空间向量,可以通过类推得到,此略。

相关定义

有向线段

规定若线段的端点为起点,为终点,则线段就具有了从起点到终点的方向和长度。

具有方向和长度的线段叫做有向线段。

向量的模

向量的大小,也就是向量的长度(或称模)。向量的模记作

注:

1.向量的模是非负实数,向量的模是可以比较大小的。向量

2.因为方向不能比较大小,所以向量也就不能比较大小。对于向量来说“大于”和“小于”的概念是没有意义的。例如是没有意义的。

单位向量

长度为一个单位(即模为1)的向量,叫做单位向量。与同向,且长度为单位1的向量,叫做方向上的单位向量,记作

负向量

如果向量AB与向量CD的模相等且方向相反,那么我们把向量AB叫做向量CD的负向量,也称为相反向量。

零向量

长度为0的向量叫做零向量,记作0。零向量的始点和终点重合,所以零向量没有确定的方向,或说零向量的方向是任意的。

相等向量

长度相等且方向相同的向量叫做相等向量.向量ab相等,记作a=b

规定:所有的零向量都相等

当用有向线段表示向量时,起点可以任意选取。任意两个相等的非零向量,都可用同一条有向线段来表示,并且与有向线段的起点无关.同向且等长的有向线段都表示同一向量。

自由向量

向量向量始点不固定的向量,它可以任意的平行移动,而且移动后的向量仍然代表原来的向量。

在自由向量的意义下,相等的向量都看作是同一个向量。

数学中只研究自由向量。

滑动向量

沿着直线作用的向量称为滑动向量。

固定向量

作用于一点的向量称为固定向量(亦称胶着向量)。

位置向量

对于坐标平面内的任意一点P,我们把向量OP叫做点P的位置向量,记作:向量P

方向向量

直线l上的向量a以及与向量a共线的向量叫做直线l上的方向向量。

相反向量

与a长度相等、方向相反的向量叫做a的相反向量,记作-a,有 -(-a)=a,零向量的相反向量仍是零向量。

平行向量

方向相同或相反的非零向量叫做平行(或共线)向量.向量a、b平行(共线),记作ab。零向量长度为零,是起点与终点重合的向量,其方向不确定。我们规定:零向量与任一向量平行。平行于同一直线的一组向量是共线向量。

a=(x,y),b=(m,n),则a//b→a×b=xn-ym=0

共面向量

平行于同一平面的三个(或多于三个)向量叫做共面向量。

空间中的向量有且只有以下两种位置关系:⑴共面;⑵不共面。

注意:只有三个或三个以上向量才谈共面不共面。

法向量

法向量法向量直线l⊥α,取直线l的方向向量a,则向量a叫做平面α的法向量。

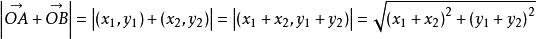
向量的和的模

设平面直角坐标系xOy中,有点A(x1,y1)、B(x2,y2),则

运算

加法

向量的加法向量的加法向量的加法满足平行四边形法则和三角形法则,

a=(x1,y1),b=(x2,y2),则a+b=(x1+x2,y1+y2)

向量加法的运算律:

交换律:a+b=b+a;

结合律:(a+b)+c=a+(b+c)。

减法

如果ab是互为相反的向量,那么a=-bb=-aa+b=0. 0的反向量为0

向量的减法向量的减法OA-OB=BA.即“共同起点,指向被减”

a=(x1,y1),b=(x2,y2) ,则a-b=(x1-x2,y1-y2).

如图:c=a-bb的结束为起点,a的结束为终点。

加减变换律:a+(-b)=a-b

数乘

实数λ和向量a的叉乘乘积是一个向量,记作λa,且|λa|=|λ|*|a|。

当λ>0时,λa的方向与a的方向相同;当λ<0时,λa的方向与a的方向相反;当λ=0时,λa=0,方向任意。当a=0时,对于任意实数λ,都有λa=0

注:按定义知,如果λa=0,那么λ=0或a=0

实数λ叫做向量a的系数,乘数向量λa的几何意义就是将表示向量a的有向线段伸长或压缩。

当 |λ| >1时,表示向量a的有向线段在原方向(λ>0)或反方向(λ<0)上伸长为原来的|λ|倍

当|λ|<1时,表示向量a的有向线段在原方向(λ>0)或反方向(λ<0)上缩短为原来的 |λ|倍。

实数p和向量a的点乘乘积是一个数。

数与向量的乘法满足下面的运算律

结合律:(λa)·b=λ(a·b)=(a·λb)。

向量对于数的分配律(第一分配律):(λ+μ)aaa.

数对于向量的分配律(第二分配律):λ(a+b)=λab.

数乘向量的消去律:① 如果实数λ≠0且λa=λb,那么a=b。② 如果a0且λa=μa,那么λ=μ。

需要注意的是:向量的加减乘(向量没有除法)运算满足实数加减乘运算法则。

数量积

定义:已知两个非零向量a,b,作OA=a,OB=b,则∠AOB称作向量a和向量b的夹角,记作θ并规定0≤θ≤π

定义:两个向量的数量积(内积、点积)是一个数量(没有方向),记作a·b

ab不共线,则;若ab共线,则

向量的数量积的坐标表示:a·b=x·x'+y·y'。

向量的数量积的运算律

a·b=b·a(交换律)

a)·b=λ(a·b)(关于数乘法的结合律)

a+bc=a·c+b·c(分配律)

向量的数量积的性质

a·a=|a|的平方。

ab〈=〉a·b=0。

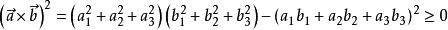
|a·b|≤|a|·|b|。(该公式证明如下:|a·b|=|a|·|b|·|cosα| 因为0≤|cosα|≤1,所以|a·b|≤|a|·|b|)

向量的数量积与实数运算的主要不同点

1.向量的数量积不满足结合律,即:(a·bca·(b·c);例如:(a·b)²≠·

2.向量的数量积不满足消去律,即:由a·b=a·c(a0),推不出b=c

3.|a·b|与|a|·|b|不等价

4.由 |a|=|b| ,不能推出a=b,也不能推出a=-b,但反过来则成立。

向量积

向量的几何表示向量的几何表示定义:两个向量ab的向量积(外积、叉积)是一个向量,记作a×b(这里“×”并不是乘号,只是一种表示方法,与“·”不同,也可记做“∧”)。若ab不共线,则a×b的模是:∣a×b∣=|a|·|b|·sin〈ab〉;a×b的方向是:垂直于ab,且aba×b按这个次序构成右手系。若ab垂直,则∣a×b∣=|a|*|b|(此处与数量积不同,请注意),若a×b=0,则ab平行。向量积即两个不共线非零向量所在平面的一组法向量。

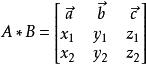
运算法则:运用三阶行列式

a,b,c分别为沿x,y,z轴的单位向量

A=(x1,y1,z1),B=(x2,y2,z2),则

向量的向量积性质:

|a×b|是以ab为边的平行四边形面积。

a×a=0

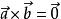
a平行b〈=〉a×b=0

向量的向量积运算律

a×b=-b×a

ab=λ(a×b)=a×(λb)

a×(b+c)=a×b+a×c.

(a+bc=a×c+b×c.

上两个分配律分别称为左分配律和右分配律。在演算中应注意不能交换“×”号两侧向量的次序。

:向量没有除法,“向量AB/向量CD”是没有意义的。

三向量混合积

向量的混合积向量的混合积定义:给定空间三向量abc,向量ab的向量积a×b,再和向量c作数量积(a×bc,所得的数叫做三向量abc的混合积,记作(a,b,c)或(abc),即(abc)=(a,b,c)=(a×bc

混合积具有下列性质:

1.三个不共面向量abc的混合积的绝对值等于以abc为棱的平行六面体的体积V,并且当abc构成右手系时混合积是正数;当abc构成左手系时,混合积是负数,即(abc)=εV(当abc构成右手系时ε=1;当abc构成左手系时ε=-1)

2.上性质的推论:三向量abc共面的充要条件是(abc)=0

3.(abc)=(bca)=(cab)=-(bac)=-(cba)=-(acb)

双重向量积

给定空间的三个向量a,b,c,如果先做其中两个向量a,b的向量积a×b,再做所得向量与第三向量的向量积,那么最后的结果仍然是一个向量,叫做所给三向量的双重向量积,记做:(a×bc

性质:

(a×bc=(a·cb-(b·ca

a×(b×c)=-(b×ca=(a·cb-(a·bc

关系式

给定空间内四个向量abcd,则这四个向量之间满足如下关系:

证明:

由混合积的性质可知

(即把c×d看成一个新的向量e,利用性质(a×be=a·(b×e))

再根据二重向量积的性质可知

该公式可用于证明三维的柯西不等式

证明:令公式中a=cb=d,则:

,那么:

等号成立的条件是,即ab共线(b=0

向量定理

共线定理

b0,则a//b的充要条件是存在唯一实数λ,使。若设a=(x1,y1),b=(x2,y2) ,则有,与平行概念相同。平行于任何向量。

垂直定理

ab的充要条件是a·b=0即(x1x2+y1y2)=0 。

分解定理

平面向量分解定理:如果是同一平面内的两个不平行向量,那么对于这一平面内的任一向量,有且只有一对实数,使,我们把不平行向量叫做这一平面内所有向量的基底。

定比分点公式

是直线上的两点,P是直线上不同于的任意一点。则存在一个任意实数,使叫做点P分有向线段所成的比。

,则有(定比分点坐标公式)。

我们把上面的式子叫做有向线段的定比分点公式

三点共线定理

已知O是AB所在直线外一点,若,则A、B、C三点共线

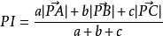
重心判断式

在△ABC中,若,则G为△ABC的重心。

垂心判断式

在△ABC中,若,则H为△ABC的垂心。

内心判断式

在△ABC中,若,且,则I为△ABC的内心。

外心判断式

在△ABC中,若,则O为△ABC的外心

此时O满足

向量空间

定义

给定域F,一个F上的向量空间是一个F-模。

同构

给定域F上的两个向量空间V与V' ,如果存在一个双射φ:V→V',并且。这样V与V' 便是同构的。

映射

给两个向量空间V和W在同一个F场,设定由V到W的线性变换或“线性映射” ,这些由V到W的映射都有共同点就是它们保持总和及标量商数。这个集合包含所有由V到W的线性映像,以 L(V,W) 来描述,也是一个F场里的向量空间。当V及W被确定后,线性映射可以用矩阵来表达。同构是一对一的一张线性映射。如果在V 和W之间存在同构, 我们称这两个空间为同构。一个在F场的向量空间加上线性映像就可以构成一个范畴,即阿贝尔范畴。

延伸

研究向量空间一般会涉及一些额外结构。额外结构如下:

一个实数或复数向量空间加上长度概念。就是范数称为赋范向量空间。

一个实数或复数向量空间加上长度和角度的概念,称为内积空间。

一个向量空间加上拓扑学符合运算的(加法及标量乘法是连续映射)称为拓扑向量空间。

一个向量空间加上双线性算子(定义为向量乘法)是个域代数。

子空间及基

一个向量空间V的一个非空子集合W在加法及标量乘法中表现密闭性,被称为V的线性子空间。给出一个向量集合B,那么包含它的最小子空间就称为它的扩张,记作span(B)。给出一个向量集合B,若它的扩张就是向量空间V, 则称B为V的生成集。一个向量空间V最大的线性独立子集,称为这个空间的基。若V=0,唯一的基是空集。对非零向量空间 V,基是 V 最小的生成集。如果一个向量空间 V 拥有一个元素个数有限的生成集,那么就称V是一个有限维空间。向量空间的所有基拥有相同基数,称为该空间的维度。例如,实数向量空间:中,的维度就是n。空间内的每个向量都有唯一的方法表达成基中元素的线性组合。把基中元素排列,向量便可以坐标系统来呈现。

向量的中线公式

若P为线段AB的中点,O为平面内一点,则

相关百科
返回顶部
产品求购 求购